A precise measurement of the speed of light in air from the frequency separation of longitudinal modes in an open-cavity HeNe laser

Vince Gregoric

Laser Teaching Center
Department of Physics & Astronomy
Stony Brook University


INTRODUCTION

Although HeNe lasers are commonly used in undergraduate laboratories, it's unusual for their detailed principles of operation to be studied in such an environment. Rather, the HeNe laser is used to study other phenomena because of the unique properties of laser light. As a result, many undergraduates are not aware of the details of laser operation.

For example, a common misconception regarding lasers is that laser light is monochromatic. In fact, a typical laser emits light at several of discrete, closely separated wavelengths. This is due to the existence of multiple longitudinal modes supported by the laser cavity. The frequencies of adjacent longitudinal modes are ideally separated by c/2nL, where c is the speed of light, n is the refractive index, and L is the cavity length. Thus, in principle the speed of light may be determined by measuring the beat frequency between two adjacent longitudinal modes and the cavity length. Such an experiment provides an uncommon method of determining the speed of light while exploring the characteristics of laser operation.

My project was based on a recent paper [1] that described a highly precise undergraduate student experiment to determine the speed of light based on this general concept. I came upon this paper through my interest in laser modes, though I was primarily interested in transverse rather than longitudinal modes. However, I was intrigued by the creative application of modes that the paper presented, so I decided to attempt to replicate the experiment. I was able to reproduce results that were comparable to the results obtained in Ref. [1], which are precise enough to distinguish between the speed of light in air and in a vacuum.


THEORY

Longitudinal Modes

The longitudinal modes of a laser are analogous to standing waves on a string. If the string is fixed on both ends, any standing wave must have nodes at each end. Many such waves may exist, but the simplest one would have nodes at each end and an antinode in the middle. This is called the fundamental frequency of the string. Higher frequencies will work as well, but the boundary conditions must be satisfied (the ends must be nodes). To satisfy this, an integer number of half-wavelengths must "fit" on the string. A similar phenomenon occurs in laser cavities. Here, the boundary conditions are dictated by the mirrors, but the condition for an integer number of half-wavelengths remains the same. This leads to allowed wavelengths of
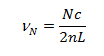
where L is the cavity length, n is the refractive index, and N is an integer. Since c = λν for light, we have allowed frequencies of
From this model, it is clear that adjacent allowed frequencies are separated by a constant amount of c/2nL. These formulas describe the longitudinal modes allowed by a laser cavity of length L, but not all of these will actually be supported as output. The main process driving laser output is the stimulated emission of light from matter based on a particular energy level transition. These transitions are typically thought of as having a specific, discrete energy associated with them. In practice, the energy is not discrete, but spread over a small range due to broadening agents such as doppler broadening. Only light with an energy that falls within this range can be supported by the gain medium. The lineshape function describes the allowed frequencies of light based on this range. We also have the limitation of the longitudinal modes supported by the cavity itself. The result of these two restrictions is that the output of a typical laser is made up of several discrete longitudinal modes that have energies within the range stipulated by the lineshape function.


CONCEPT of the EXPERIMENT

I followed the method of D'Orazio et al. [1] closely when conducting my own investigation. They present several modifications to the basic setup which allow for a more precise result. I will discuss these modifications here.

To determine the speed of light, we need to know the beat frequency and the cavity length. Using the constant separation between longitudinal modes, we obtain the relation


with νb representing the beat frequency. If we plot cavity length vs. inverse beat frequency for several different cavity lengths, we should obtain a linear plot with a slope of c/2n. The reason for plotting the data in this form will become clear shortly. It is possible to measure the beat frequency with an RF spectrum analyzer, but measuring the cavity length accurately can be difficult. This can be avoided by using an open cavity laser (pictured below).


It is much easier to measure the distance between the output coupler and a fixed point outside the laser tube as opposed to the distance from mirror to mirror. We will need to modify equation 3 in order to take this into account. Additionally, we need to consider the fact that the cavity does not have a constant index of refraction (the refractive index is different for air and the HeNe tube). So we will split the cavity into three sections: the HeNe tube, the distance from the output coupler to a fixed reference, and the remainder of the air portion of the cavity. This is shown in the following figure:

If we deal with the cavity in this way, we must replace nL by nHeNeLHeNe + nairLFixed + nairLcoupler in equation 2. Using basic algebraic manipulation, our new form of equation 3 becomes

If we plot Lcoupler vs. 1/νb, we should obtain a line with a slope of c/2nair. This is useful because the parameters that would be difficult to measure are collected in the intercept term, so we need only concern ourselves with the slope.

Although I have described the longitudinal modes as being separated by a constant frequency, in reality, this is not the case. The frequencies of the longitudinal modes of a laser are affected by frequency pulling and frequency pushing. Frequency pulling is a phenomenon that causes the longitudinal modes of a laser to be "pulled" toward the center of the linsehape function due to a frequency varying index of refraction near the laser transition. This results in a frequency separation that is less than the separation predicted by the theory. In contrast, frequency pushing (which is caused by an increase in the overall gain of the laser cavity) opposes the effects of frequency pulling, resulting in a frequency separation that is greater than that predicted by the theory. So without knowing how large the effects from both pulling and pushing are at a given point in time, it is impossible to know whether the beat frequency will be larger or smaller than what is expected.

However, the uncertainty caused by frequency pulling and pushing can be minimized. Using a scanning Fabry-Perot interferometer connected to an oscilloscope, it is possible to monitor the longitudinal modes that are present in the beam. How much pulling the modes experience depends on the relative intensity of the two modes, so by taking every measurement with the modes at the same intensity relative to each other, the uncertainty due to pulling can be minimized. The amount of pushing the modes experience depends on the overall gain of the laser cavity, so if each measurement is taken at the same absolute mode intensity compared to all other measurements, the uncertainty due to pushing can be minimized. In this way the Fabry-Perot can be used to improve the beat frequency measurement.


SETUP and PROCEDURES

For my setup, I used an open cavity HeNe laser with the HeNe tube mounted in a frame and the output coupler on a translation stage. The translation stage had a resolution of 0.0001 inch and a range of 1.0000 inch. The beam of the laser was passed through a beam splitter, which directed the light into both a photodetector and a scanning Fabry-Perot interferometer. The photodetector was connected to an RF spectrum analyzer (HP model 8566A) which displayed the beat frequency. The Fabry-Perot was driven with a Spectra-Physics model 476 scanning interferometer driver. The light that passed through the Fabry-Perot was sent into a second photodetector, which was hooked up to an oscilloscope to monitor the relative intensities of the modes. In order to keep the modes at equal intensities relative to each other, I applied slight, adjustable pressure to the frame of the laser using a hair tie held down with screws. I adjusted the total intensity of our modes using an intra-cavity iris. My setup is shown visually with a schematic:


I encountered several difficulties in conducting the experiment. Initially, I was struggling to design a method to move the output coupler over a range of approximately 16 cm, which is the range of motion reported in [1]. It was difficult to devise a way to do this which would allow me to measure distance to a small enough scale, so I ended up using a translation stage. Although the range of the stage was only 2.54 cm, I was able to take enough measurements to arrive at a reasonable result.

Another problem I encountered was setting up my Fabry-Perot. I had never worked with a scanning Fabry-Perot before, so just hooking it up to a driver and oscilloscope was difficult. I learned how to do this primarily with the help of Sam Goldwasser. The Fabry-Perot I ended up using was driven with a Spectra-Physics model 476 driver on the 300 V setting. Sam suggested using the blanking from this device to trigger the oscilloscope, which worked well. The manual for the driver can be found here [2]. An external photodetector had to be placed behind the Fabry-Perot to send a signal to the oscilloscope. Here is a picture of the setup for the driver:


There were two Fabry-Perot devices for me to choose from: one mounted in a mirror tilter, and another mounted on a gold stand. I originally tried to work with the one on the gold stand, because it seemed easy to align. Unfortunately, it did not produce very large peaks on the oscilloscope, so it would be too impractical to use in the experiment. A further complication with this Fabry-Perot was that there was no easy way to secure it once I had it aligned properly. I could not find a way around these difficulties, so I switched to the one mounted in the mirror tilter. This one was more difficult for me to align at first, but it was easier to get nice peaks and to keep aligned. Both Fabry-Perot devices are depicted below. I ended up using the one on the right.

   

ANALYSIS and RESULTS

I took two sets of data: one with and one without using the Fabry-Perot to minimize frequency pulling/pushing effects. In both trials, I took data over a range of 0.8000 inches in increments of 0.0250 inches. For my first trial (without the Fabry-Perot), I obtained a measured value of the speed of light in air of 2.990 x 108 m/s. A graph of the data from the first trial follows:


For my second trial (with the Fabry-Perot), I obtained a measured value of the speed of light in air of 2.9973 x 108 m/s. A graph of the data from the second trial follows:


The accepted value of the speed of light in air is 2.9971 x 108 m/s assuming an index of refraction of air at STP of 1.00029 [3]. The accepted value of the speed of light in a vacuum is 2.9979 x 108 m/s. By taking frequency pulling and pushing into account, I was able to obtain results precise enough to differentiate between the speed of light in air and in a vacuum. Using the Fabry-Perot, I was able to measure the frequency to within a range of approximetely ± 15 kHz for frequency measurements on the order of hundreds of MHz. Without taking frequency pulling and pushing into account, my results were not precise enough to make this distinction; I was only able to measure my frequency to within a range of approximetely ± 100 kHz. I am currently seeking to determine the exact error in my final result by analyzing the uncertainties in the length and frequency measurements, but it is clear that taking frequency pulling and pushing into account improves the precision of the experiment.


REFERENCES

[1] D. J. D'Orazio et al. Am. J. Phys., Vol. 78, No. 5, May 2010 pgs. 524-28
[2] http://repairfaq.cis.upenn.edu/Misc/Lasers/sp476/SP476manual.pdf
[3] http://hyperphysics.phy-astr.gsu.edu/hbase/tables/indrf.html

This research was supported by a grant from the National Science Foundation (PHY-0851594).