Research Journal


April 30th, 2014.

Today we finally got to present our posters at URECA. It was an amazing experience and I really did have so much fun presenting and looking at all the different posters. It was great to see so many interested students there, there were a lot more than I had expected. The LTC table frequently had people asking questions and playing with the fun optics toys we brought. The biggest attraction was definitely the pig toy. Most people didn't know much about fractals, so I had to spend more time explaining how they are formed and give some common examples before I could describe the patterns being formed in my demonstrations. The more people I talked to, the better I got at presenting the information and the more fun I was having. It was great practice and really rewarding when someone understood and took interest in what I was telling them. I had extra fun talking to those who did know more about fractals so I could spend more time talking about their significance. Everyone there was really enthusiastic about what they were learning or what they were presenting. I'm so grateful to have attended this year and I'm looking forward to going to many more events like URECA in the future.


April 14th, 2014.

Rachel met with us today in the LTC to finalize our abstracts and decide on a title. The hardest part for me was condensing everything I wanted to say into my abstract while still explaining some of the more perplexing concepts well enough. I'm excited to look deeper into the still unknown properties of fractals and talk about some of these theories in my report. Dr. Noé lent me a book called, Chaos, Making a New Science by James Gleick. The book explains phenomenon related to fractals such as the geometry of nature, chaos and the butterfly effect, to name a few. I can't wait to start reading it, I'm sure there's so many things in here that I can incorporate into my project. As usual, the hard part will be deciding what I'll be limiting that to.


April 10th, 2014.

I met with Dr. Noé today to go into further detail about exactly what I wanted to do for my project. I really wanted to calculate the fractal dimension of the image I would be creating using reflected light rays, but found that the program I would need to do that costs around $4,000. Change of plans: I decided to instead demonstrate that fractals really do have a non-integer dimension by solving for the dimension of a 2D object and a (much more) simple fractal pattern. I will still be able to create the image using the setup I had planned on. Maybe I'll use a different configuration of mirrors as well to show how a higher fractal dimension corresponds to an image of greater complexity. A greater explanation of this can be seen in my abstract.


Arpil 4th, 2014.

Sam, Libby and I finally decided on our projects today with the help of Rachel and Dr. Noé! He was sure right when he said that deciding on a project is the project itself. After a great deal of contemplation about choosing an interesting project simple enough to completely understand yet challenging enough that we'll walk away having learned something valuable, I decided to study fractals. I found a great paper that described a setup that contained different colors of light so that their continuous reflection will form fractal patterns. The resulting image is truly mesmerizing and I hope I'll be able to recreate it. I'll be thinking of a good title, looking more into background information and preparing a detailed description of the setup for my abstract, as well as looking for a way I can relate fractals to astronomy. (I'm crossing my fingers!)


March 28th, 2014.

A high school student named Emily visited Stony Brook today to meet with Dr. Noé and tour the LTC. Unfortunately I had class and missed what sounded like an amazing lunch at the Simons Center. It was nice to talk with a prospective student and talk to her about our experiences so far. We discussed a wide range of possible project ideas, some of my favorite being speckle patterns, observing Fraunhofer lines in the solar spectrum, modeling the James Webb Telescope, and why Jupiter doesn't twinkle. We will be creating an ideas page to narrow down our options and look further into what kind of project we could do to study them.


March 14th, 2014.

Libby and I were shown the basics of using Linux to maintain our webpage. Dr. Noé also explained how to keep a good research journal and lab notebook, and stressed the importance of having a strong password for every account. I learned a lot today and feel much more confident about using the program. He also talked to us about the angular size of the moon and the moon illusion. The moon illusion is the optical illusion of the moon being larger depending on its location relative to the horizon. The angular size of the moon remains constant as it rises and falls in the sky, so what makes us perceive it as being much larger when it's closer to the horizon? Scientists still don't have an explanation for this illusion.

The moon illusion


March 12th, 2014.

We have been looking at many different cases of polarization in the lab recently. We held a polarizer over a beaker of corn syrup and found that rotating the polarizer changed the color of the corn syrup. Dr. Noé explained this happens because the sugar molecules in the corn syrup have a property known as chirality, meaning that the molecules cannot be superposed onto their mirror image. (Human hands are a good example of this property.) Turning the beaker instead of the polarizer had no effect on the color. We also saw how polarization changes the intensity of light, as described by Malus' law. Further discussion led us to linear, circular and elliptical polarization, as well as many applications of polarization such as polarized sunglasses, mood rings, LCD displays, and 3D glasses.


March 7th, 2014.

Today we discussed the differences as well as the correlation between diffraction and interference. When light is incident on a spherical object, light diffracts around it, creating a shadow of the sphere with concentric rings of light of varying intensities around it. At the center of the shadow is a bright spot of light known as the Poisson Spot. While it is diffraction that allows this to occur, the light patterns are actually due to interference of the light waves. This experiment was a major discovery that helped prove light was in fact a wave. Dr. Noé demonstrated another configuration that demonstrated the wave-like property of light during our meeting last week using a Michelson interferometer. A beam splitter was used to split the laser beam into two paths, which were then reflected off two mirrors and recombined to produce an interference patter. Doppler shifts occur when one mirror is smoothly moved back and forth using a rubber band, changing the distance the wave travels, and therefore the phase alignment of the split beams. This creates different points of constructive and destructive interference as can be seen in the moving interference fringes.

Poisson Spot


March 4th, 2014.

Sam and I attended a lecture at the Simons Center given by the Nobel Prize-winning physicist, Dr. Frank Wilczek, entitled "Expanding the Doors of Perception". The talk was about our limited sense of perception, namely, our perception of light and color. A large part of the content included many things I had been reading in preparation for my presentation last week, which was exciting since I could relate the talk to a lot of what I had recently learned. While I had previously considered similar ideas of the ones discussed, he presented them in a way that seemed less like science fiction and much more realistic. For example, humans have 3 photoreceptors that allow us to distinguish the color and intensity of light. However, a mantis shrimp has 16, allowing them to perceive both multispectral images and polarized light. How is the perception of the mantis shrimp different from ours, and what would our view of the world be like if we had the same? I suppose the answer, even if we knew it, would be like trying to explain color to a person who has only ever seen the world in black and white. What aren't we able to see now, and how would our world change if we could see beyond the doors of our perception? The discussion probed many other new ideas of how we observe the world, and questions about the limitations we are fated with that hinder our insight.


February 28th, 2014.

Over the past week, I had prepared a presentation for today's meeting. I was researching light as an electromagnetic wave in the visible part of the spectrum, specifically, why we perceive colors the way we do. I learned that each wavelength in the spectrum corresponds to a different color, and when that wavelength reaches the color sensors in our retina, called cones, we perceive that color. These wavelengths enter our eyes when light is reflected off of an object we are viewing. Light is composed of many different wavelengths and frequencies. When light hits an object, some of the electrons in the object have the same natural vibrational frequency as that of some of the frequencies in the light. When the two frequencies match, the object absorbs that particular frequency, and emits all other wavelengths which combine to form the color that we perceive. This is also why different objects can appear to be different colors if different colors of light shine on it. This also demonstrates that the property of color does not lie within the object, but in the electromagnetic wave of light itself.

Libby gave a presentation about electromagnetic waves, and drew one showing the combination of the electric and magnetic field as well as a diagram of what happens when an electromagnetic wave hits an electron of the same frequency. Sam gave a talk about the Doppler shift, which most people would relate to sound waves. Sam showed us how it is used in astronomy to gain knowledge about stars and galaxies, such as a star's orbital period.

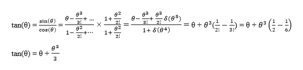
Another thing we did today was the small angle approximation for tan(theta), to show that like sin(theta), tan(theta) can also be approximated as theta. Knowing that tan(theta) is sin(theta) divided by cos(theta), we found the infinite tan series by dividing the sin series by the cos series. In this derivation, we used and reviewed a complex conjugant as well as factorials to remove complex numbers from the denominator to get:

We used the small angle approximation again to approximate a small change in the length. This first method yeilded an extra negative sign, which we still haven't figured out.

We tried again using the Pythagorean Theorem and binomial expansion and got the right answer.


February 21st, 2014

Today, we learned how the small angle approximation works for a simple pendulum, and how it is used to simplify the derivation of the equation for its period. For small angles of displacement and therefore a constant frequency and amplitude, a pendulum acts as a harmonic oscillator. When moved from its equilibrium position, the pendulum experiences a restoring force due to gravity, thus undergoing sinusoidal oscillations about this point. If the angle were to become too large, it would increase the period of the pendulum, therefore leading to an imprecise time. There were many solutions to these inaccuracies, including an adjustment nut on the bob or a clench on the support to shorten the length of the string in order to keep an exact time. The derivation for the period of a pendulum using the small angle approximation is:

Libby and I also met Rachel today. Rachel is a student who has been working in the LTC for over a year now. She showed us how to navigate an operating system called Linux, which we will be using to maintain our student websites. This was slightly unnerving for me since I had never used anything like it before (besides on my MySpace page which is basically prehistoric nowadays). However, with enough practice and the help of Rachel's guides, I know I'll get the hang of it and am very excited to learn this new skill.


February 20th, 2014

Today, Sam, Libby and I had our first meeting in the LTC with Dr. Noé. Previously, we had met to discuss the process of exploring different possibilities for a topic of our interest in order to design a project. Aside from taking physics in high school, I really hadn't had much experience with optics. Dr. Noé showed us many projects from his previous students, which really opened my eyes to the extent of phenomenon related to optics that I never would have thought of. Since I am planning on majoring in astronomy as well as physics, I thought it would be advantageous to create an optics project that related to astronomy.

During our first meeting, we reviewed concepts that we thought we knew like the back of our hand since we learned them in high school. We were first asked what a radian was. At first it seemed like a silly question, but after thinking about it for a few seconds we could only explain it as a unit that was used when the angle was multiplied by pi over 180 degrees. One degree was 1/360 of a circle, but what was one radian, exactly? We couldn't think of the answer. We were soon reminded that a radian is actually a ratio of the radius of a unit circle to its circumference, and one radian is where the arc length divided by the radius equals one, or where the arc length is equal to the radius. This occurs at approximately 57°. This exercise demonstrated the importance of truly understanding a simple concept by relating geometry and algebra.

Another concept we discussed was the small angle approximation for the sine function. When the angle is small, we can approximate the sine of an angle by the angle itself, measured in radians. We can see this by plugging smaller and smaller values into the sin function: sin(1) = 0.841471, sin(0.1) = 0.099833, sin(0.01) = 0.00999. We also demonstrated the small angle approximation by drawing the sin function and the graph of y = x, where indeed, we saw that small values of x for both functions were very close to being equal. We also drew the cos and tan functions to see that for small values of x, tan(x) is approximately x, and cos(x) is approximately 1. We will be discussing further applications of the small angle approximation in our next meeting.