Power Law Decay of Phosphorescent Materials
Chungchi Chen, John Noe, Harold Metcalf
Laser Teaching Center at Stony Brook
Department of Physics and Astronomy
Intro
Why is it interesting?
1. Phosphorescent Material is also well known as "Glow-in-the-Dark" materials.
Applications: Glow-in-the-Dark decorating stars, Glow-in-the-Dark yo-yo, safety signs.
![]()
![]()
2. Properties of phosphorescence: Something that emits light after it's exposed to a light source.
3. How does phosphorescence emit light?
Phosphorescent materials contain phosphors, which have the characteristic of trapping light, which creates an afterglow after the material has been exposed to a light source.
4. Why is light trapped inside the material?
Some electrons are excited by the activating light into "triplet states" which take a very long time to decay back to the normal "singlet states." Triplet and singlet refers to the quantum mechanical spin of the state.
1st Graph
Intensity of Phosphorescent Material v.s. Time
Sample activated by incandescent light
The very first experiment I did, which shows the relationship of time and the light intensity.
The red line is the function 1/t^n, where the exponent n is 0.96, very close to 1.
Setup
Setup:![]()
![]()
Equipment Used:
- A phosphorescent sheet provided by Shannon Luminous Materials. Inc.
- A light detector
- A voltmeter, to take readings of the light detector and send them to the computer.
- A black cover to make a completely dark environment.
- Computer with spreadsheet program, to record, graph and analyze the data.
- Various light sources (sunlight, incandescent light).
Electroluminescence
Intensity of Electroluminescent Material v.s. Distance
Sample activated by electrical current
![]()
It's a graph of light intensity in a function of distance.
It's actually the concept of Inverse Square Law.
I used a continuous simulated electroluminescent material to perform this measurement
Inverse Square Law
What's Inverse Square Law?
Inverse Square Law states that the light intensity is changing in direct proportion to the strength of the source and in inverse proportion to the radius from the light source to the object, squared.
It applies only for a "point source," which means that the size of the source is small compared to the distance between the source and the object.
The formula is:
I = S / (4 * pi* r^2)
Where S is the light strength at the source;
r is the radius (the distance from the light source to the object);
pi is the value of 3.14159...
Therefore, if the radius is 2r, the intensity detected on the light source from the radius is 1/4 of the original intensity.
![]()
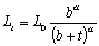
Hyperbolic Function
To find an formula which fits the graph, we found that the hyperbolic curve function worked as the most fitting formula, yet it's not the exactly fitting curve.
The hyperbolic function is:![]()
I found out that the formula to fit the graph to be:
L = L(0) * 1 / (a + x^n)
Where a is 1 in this graph, and the exponent n is very close to 2.
The correct formula for the graph of the LimeLite, which is the electroluminescent material, is:
L = L(0) * 1 / (6 + x^2)
What's electroluminescence?
Electroluminescence is the emission of light when a material is simulated by current. It doesn't hold light like phosphorescence does, but it has a similar color of glow light, which is green-yellowish.
Comparison
Intensity of Phosphorescent Material v.s. Time
Sample activated by incandescent light
This graph is the same as the first graph shown.
The green line represents that the data is being calculated with the modified hyperbolic formula, which fits better than the red line.
Sunlight
Intensity of Phosphorescent Material v.s. Time
Sample activated by sunlight
This graph presents the average of data over an 18 hour time interval, starting 45 seconds after the sample was activated by sunlight.
Explanation
How was graph obtained?
The sample was activated by sunlight for about 5 minutes
Then I ran inside!
Experiment setup was the same:
Radio Shack meter was connected to the RSMETER program in order to take the readings over time.
The photo-detector was positioned in a dark box with a black cover (background intensity reads 0.2 mV).
Photo-detector was facing down for the convenience for sample to slide in after activated.
After 18 hours of data taking, the RS meter data was converted on a spreadsheet, and analyzed.
How was the data analyzed?
After the first 10 seconds of data, data was averaged according to time interval:
For 10 to 100 seconds, data was averaged every 10 seconds.
For 101 to 1000 seconds, data was averaged every 100 seconds.
For 1001 and beyond, data was averaged every 1000 seconds.
The averaged data was graphed on the log to log scale, and the red line represents the modified hyperbolic formula, where the constant a = 0, and the exponent n is very close to 1.
It also obeys Power Law.
Power Law
What is a Power Law? Definition: A Power Law is a function that describes a linear relationship of some kind of data on a log-log scale.
The formula for Power Law is:
P = CX^nwhere n is fixed, and C is a constant.
Zipf's Law is a power law with n = -1, which is mostly used in statistics, for example, to describe the frequency of occurance of English words in a book.
A count of the top 50 words in 423 TIME magazine articles (total 245,412 occurrences of words), with "the" as the number one (occurring 15861 times), "of" as the second (occurring 7239 times), "to" as the third (6331 times), etc. When the number of occurrences is plotted as the function of the rank (1, 2, 3, etc.), the functional form is a power-law function with exponent close to 1.
Power Law can be the function to describe either a very rare or a very common event.![]()
Another application on Power Law is the 1/f noise, which is known as the pink noise, when plotting the frequency and the spectral density on a log-log scale, the 1/f noise appears to be a straight line, such that it also follows the power law.
More on Power Law
The Use of Power Law on the Measurements
In the light versus time graphs, Power Law explains the ongoing straight line after the first 1 or 2 minutes.
After waiting ten times longer the light is ten times weaker, and so on.
Why was the hyperbolic curve also used to plot the data?
The modified hyperbolic function was used as a convenience to level off the first minute of the curve, to make it better agree with the data.
The power law cannot apply for short times because it would predict that the intensity becomes infinite.
After some time the hyperbolic curve becomes nearly the same as a power law.
In this project we are mostly interested in the power law (straight) part of the graph.
Conclusion
Conclusion:
The relationship of time and light intensity of the afterglow of the phosphorescent material is found to be described in a form of Power Law function.
Both sunlight-activated-sample measurement, and the incandescent-light-activated-sample measurements obey Power Law after about the first 100 seconds.
The underlying reason why a Power Law applies to this case is not yet understood.
Future Plans:
To study the light decay of the (same) sample at a different temperature, after the sample is activated by a light source.
This will help us to understand how the Power Law applies to the phosphorescent emission, and the changes in the exponent of the Power Law function.