Creating Inexpensive Tunable Filters
from Birefringent Polymer Films

Mentors: Melia Bonomo, Martin G. Cohen, and John Noé

Laser Teaching Center
Department of Physics and Astronomy
Stony Brook University


Background

My project this summer stemmed from what was originally a very lofty project idea. When Dr. Noé first introduced us to the concept of acousto-optics on our first day in the LTC, I immediately started thinking about the real world applications of such a field. I wanted to develop a sensor that would be able detect brain infections by evaluating the change in pressure in the spinal cord due to a fluid influx. After a week or so of reading into this, I unfortunately (but fortunately) came to the conclusion that using a Fiber-Bragg grating (FBG) was almost out of the question. Although I wouldn't be able to pursue making a pressure sensor, the idea of real-world applications to whatever research I ended up condcting really stuck with me.

Coming into this summer, I had a background in polymers because of my research in the chemical engineering department at UC Santa Barbara the year before. After stumbling upon a paper by Velasquez et. al., I decided to explore the overlap between polymers and optics. Within a week, I was introduced to the many applications of birefringent materials. If properly used, they could create bandpass filters to allow certain wavelengths of light through, polarizing them onto certain planes. I soon came to learn that these filters were used in display applications everywhere and decided to look more into this.


Introduction

Birefringent materials have two orthogonal axes with slightly different indices of refraction through which light can travel. Depending on the angle of the incident light, its polarization state can be altered. There are three types of polarized light: eliptical, circular, and linear. For the purposes of this project, I mainly focused on linearly polarized light, which propogates along one given field, and circularly polarized light, which maintains the same amplitude but changes direction azimuthally as it propogates. The x- and y-components of the electric field vector of linearly polarized light maintain a 180-degree phase shift, while these components maintain a 90-degree phase shift in circularly polarized light. The relative phase shift between the x- and y-components is known as retardance, which is often dependent upon wavelength.

Birefringent filters utilise changes in the state of polarized light in anisotropic materials to transmit different intensities of light at certain wavelengths. Such filters are employed in display and color filtering technology, as well as wavelength division multiplexing systems for optical communications.Although generally considered to be extremely intricate and expensive, birefringent materials can be as simple as sheets of polymer film. For my project I used the optical properties of cellophane tape to explore and create such devices.

Polymer birefringence is predominantly the result of manufacturing processes. When these materials are subjected to stressed from stretching and molding processes, the induced stress shows up as birefringence in the finished materials. When the monomers chains form parallel strands, one refractive index is parallel to the main chain consisting of carbon bonds, while the other is perpendicular. Light travelling perpendicular to the main chain will encounter double bonds, retarding the light more.

My project came in three steps. First, I was to characterize the birefringence of the material I was using ("High Performance" Scotch brand clear cellophane packaging tape). Then, with those parameters, I was able to mathematically model using Jones calculus birefringent filters that could polarize the incoming light in a certain manner at particular wavelengths. The third and final step was building the filters and observing their effects on transmitted light.


Characterizing Birefringence

In order to determine the retardance of the tape at particular wavelengths, I had to simulate a set-up that could measure the intensity of light coming through the tape at certain wavelengths, thicknesses of the tape, and angles of polarization. I created samples of parallel tape that would act as retarders at specific wavelengths for the incident light. The set-up consisted of a halogen bulb and two linear polarizers. The polymer samples were placed in between either the crossed of parallel polarizers. Due to the brifringent properties of the thin films, at different oritentations of the polarizers, different wavelenths of light were transmitted. The films displayed different colors with each oritentation of the polarizers.

Using a ThorLabs CSS100 Spectrometer, I recorded the intensity of the light transmitted at different wavelengths. The samples I created produced a series of periodic oscillations, with complete extinctions at the minima and maxima transmission at the maxima. Below is an example of the transmission data of a ten layer sample between the two parallel polarizers.

I then had to normalize the data to determine the retardance of light at particular wavelengths and eventually calculate the order of rotation for each sample. I did this by dividing the intensity of the output light by the incident light between two parallel polarizers to characterize the retardance of the samples at particular wavelengths. At the minima for the parallel polarizers and the maxima for the crossed polarizers, the filters behaved like half-wave plates, due to the 180-degree rotation of the light. The intersection of the crossed and parallel transmission graphs represent quarter-wave plates because their behavior doesn't change, despite the rotation of the linear analyzer. The graph below is the normalized data for a six layer sample.

After gathering the data, I realized that beyond just understanding at which wavelengths the polymer acted like a half- and quarter-waveplate, I could also determine the order of retardance. After discussion with Marty and Dr. Noé, I used a technique which I've coined as the "k-plot", to determine the total retardance of the extinction points of the samples. I plotted hte inverse-wavelength using the following equation:

Using a trial-and-error method, I graphed several orders of odd multiples of pi. A line drawn through those points that passes through the origin indicates the proper k-values. The ten layers of tape, for example, was determine to have an 8th order of retardance. Its k-plot is shown below.


Modeling Filters

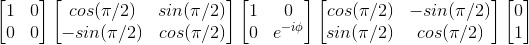
Jones calculus is a powerful tool that I really devoted a lot of my summer to learning. I used this branch of mathematics to theoretically design the filters. In theory, setting up a series of equations would allow me to find an angle theta at which I could rotate two samples of cellophane tape relative to each otherto produce circularly polarized light.

After modeling, I discovered that it is impossible to produce circularly polarized light from linearly polarized light at the wavelength it behaves like a half-wave plate. There does exist quarter-wave plate retardation in the cellophane samples I create, as indicated in the earlier graph, but it can only be produced at those wavelengths.


Unexplained Results

In principle, as demonstrated through Jones calculus, it is impossible to produce circularly polarized light from linearly polarized light with only half-wave plates. Yet, when two six layer samples were rotated 165 degrees relative to each other, the filter yielded no visible maxima. Instead, the intensities leveled out to the intensities of the previously established quarter-wave retarder wavelengths, like we would expect for circularly polarized light.


Future Work

In the future, I really hope to replicated and look further into my unexplained results. Clearly there is something going on in the graph above, even if it isn't circularly polarized light.

I also would like to further examine the retardance caused by the cellophane tape by using an interferometer to observe the change in the fringe patterns induced by the birefringence of the material.

Studying achromatic waveplates and figuring out how to make them with polymers (as I did with wavelength-dependent birefringent filters) would also be a great way to continue this project in the future.


References

[1] P. Velasquez et. al., “Interference Birefringent Filters Fabricated with Low Cost Commercial Polymers,” Am. J. Phys. 73, 357 (2005).
[2] F.L. Pedrotti & S.J. Pedrotti, Introduction to Optics (Second Edition).
[3] Special Optics, "Retardation Plate Theory".