Research Journal

Below is a journal of my experience working with John Elgin, a graduate student, on his experiment called ARP (Adiabatic Rapid Passage). I began working with John in the Spring of 2013 and have continued helping him into the summer. More information about John, and Dr. Metcalf's research group can be found here.


Thursday and Friday, January 9th and 10th 2014

In our lab there is an old Argon-Ion laser and a SEO Ti:Sapph that is not currently in us. For a minilab in the lasers course I took last semester we had to measure the threshold of the Argon-Ion laser, and then align it onto the Ti:Sapph crystal. At the time of the minilab there was no cooling mechanism on the crystal so we could not pump the crystal hard enough to produce stimulated emission. My plan for these two days were to attach a water cooling line and make sure that it worked.

I spent most of Thursday looking through various drawers for the needed tubing and piping to connect faucet water through a water filter into the crystal and then have the output drain into a sink. After toying with difference combinations of piping and tubing I was able to get all that I needed. On Friday I installed the cooling apparatus. The first two times there were leaks from the water filter when Chris noticed that there was an O-ring missing on the inside to seal the cap to the filter holder. Once I found an O-ring and installed it the system worked fine as I let it run for an upwards of 30 minutes without any leaks.

Now that the crystal can be cooled, the Argon-Ion laser can be used to pump the Ti:Sapph crystal. The rest of the day was spent checking the alignment of this pump beam into the Ti:Sapph cavity. I observed that the Argon-Ion laser could only reach about 4.5 W which was not enough to produce gain from the crystal. I will work next week to better align the Argon-Ion cavity to optimize its output power.


Wednesday, Janurary 8th 2014

The plan for today at first was to light the source and double check that all the pressures and the detection system is working fine. At this point we are still working with one beam ARP, meaning a beam passes through the vacuum system and is retroreflected back - resulting in two pulses incident on the atoms from opposite directions separated by their width.

While working with 1 beam ARP, we find an apparent dark line in the force - between the max force and the small radiative force/atomic slit peak. Under John's suspicion we wanted to see if the position of the dark band changed as a function of the angle at which the laser beam is incident on the atoms. To do so, we recorded the position of the laser light on each vacuum window. By knowing the distance between them we can determine the angle of incidence.

The procedure was to vary the distance between the edge of the vacuum window on the incident side, then meausre this distance on the opposite side. Once done, we had to realign the retroreflected beam in order to take a picture of the force. This procedure was done in both directions and initial data shows a relationship between the angle of incidence and location of the dark spot. These results will be posted once they are processed. The plan for the rest of the week and into next is to investigate this dark spot.


Tuesday, January 7th 2014

Today is my first day back for the rest of the winter and spring semesters. Last week the turbo pumps came back, right before the blizzard. While the vacuum system was at STP, John and Chris spent a couple days moving the MCP/Phosphor screen forward. This was done so Chris' new detector has a full range of motion in which he is going to preform time of flight measurements.

During the installation an aluminum rod holding the phosphor screen broke so they had to replace it. Today, once the screen was repaired and the vacuum system was sealed off we wanted to purge the system of dirt and eventually make sure that the detection system is still working. We found that the source lit immediately, and quickly observed the screen to be working just fine; producing a nice clear image. The nice thing is that the atomic slit is now located in the middle of the detection system so if the ARP force is moving any atoms in the opposite direction than desired, we can tell. We noticed that there was a glaring bright spot on the screen which Chris and John believe to be dirt and other particles in the MCP which have not been pumped out yet. This causes the charge across the MCP to be dissipated and smear the image.


Friday, November 22nd 2013

Today our plan was to switch the amplitude modulators and repeat the same measurements. Next week are are going to switch the directionality of the laser system, so the laser travels through the -kv side. By adjusting the pulse delay we can still push the atomic beam in the normal direction. By doing this we can also determine if their is any problems in either beam line.

We noticed the Helium tank is near empty and as a result the source has a hard time lighting. This is due to residual 'dirt' at the bottom of the tank. To light the source, which creates metastable Helium, we had to crank the voltage to 3200 kV then bring it back down to 2200 kV.

When we began the data taking process we saw that there was really only one distinct force off resonance. We had to make a decision on characterizing the strongest force off resonance, so we can repeat for different beam powers. We noticed a strong force with large wings on the top and bottom which is a facet of a pi-pulse force. This was verified when we lowered our powers these wings got closer towards the center. Upon initial observation we found the frequency difference between the on resonance and off resonance forces was only about 100 MHz. We will analyze this further to understand the full description. But we first noticed that the on-resonance force is till non-existent, which is concerning.


Thursday, November 21st 2013

Recently observations have shown that if one of the lasers is detuned, we observe a stronger force on the atomic beam. This indicates some frequency change in the system. We know this is not present in the Saturation Spectroscopy set up from previous tests. In the past weeks John has flipped different devices between each beam line to determine what it causing this effect; for it is only in one beam line. Measurements done point at the amplitude modulator that was bought last January. Using a wavemeter we can observe the frequencies on and off lock that correspond to the strongest force. Using two beam ARP John has noticed a 320 MHz detuning, present in this 'newer' amplitude modulator. A 320 MHz is intriguing because that is the width of our pulses used. To characterize this further, John spent the beginning of this day aligning optics around the vacuum for one beam ARP.

In one beam ARP, we send light through the vacuum system and out and then retroreflect it back, mimicking two beam ARP. The spacing between the retroreflector and the vacuum window controls the delay between the two pulses. This was chosen so that the second pulse occurs immediately after the first one, as in two beam ARP as well. This gives us the ability to easily switch out amplitude or phase modulators and maintain a consistent basis. Today we use the assumed 'poor' amplitude modulator and characterized the detuning over four beam powers: 1.5 W, 1.25 W, 1 W and 0.750 W. For each power we took down the frequency and recorded the force for: one resonance, and two off resonance maximums that we saw.

Upon first glance at the frequencies recorded, there was a consistent 320 MHz frequency separation between the two off resonance forces. This is a strange effect and initially we are not sure what to make of it. Tomorrow we plan to switch amplitude modulators and repeat the measurements. This will give us more conclusive data on diagnosing this apparent frequency shift.


Wednesday, October 16th 2013

While I have not been in the lab with John in a couple weeks I have been talking to him daily to keep up with his daily updates. Most of my time has been spent working on classes and making the poster for the OSA conference in Orlando. Over the past couple weeks there have been some major changes to the RF set up. This was done to make a definitive timescale between the pulse generators, and both signal generators. Recall that the pulse generator creates a pulse of width 320 MHz, or 3.125 ns which has the CW light mapped on to it. The signal generators create a frequency sweep in both phase modulators. We need both frequency sweeps to start at the same time meaning that they have the time frame and origin. This is now controlled by the pulse generator who acts as the clock in the system.

The goal is to be able to take pulse delay measurements of ARP. This means that we step the 1 pulse in time while keeping the other pulse fixed, resulting in a change of the phase difference between. While this is happening we need to make sure that the frequency sweeps are still lined up. Meaning that they start and stop at the same time. John wrote a problem so that we step the phase difference in 1 degree increments corresponding to 0.0173611 ns / degree.

Another factor we need to consider is the relative amplitudes of each sweep because their respective signals go through two different RF amplifiers and also two phase modulators, whose make are not exactly the same. We found a relation on what the differences in starting voltage for the frequency sweeps should be. As stated, since both phase modulators are not exactly the same the input amplitudes need to be slightly different which we found to be a factor of 2.5 dBm.

No we have got to the point where the +kv phase delay is aligned with the pulse. Now using what we just did we can set the -kvø pulse delay using the pulse generator and the correction in the signal generator so that each frequency sweep begins and ends at the same time. The ultimate goal here is to devise a way to align the RF signals instead of using a Fabry-Perot. Now we feel much more comfortable with the RF timing so we can accurately measure force vs. pulse delay.

After lunch we began to cool the source in order to increment the delay between pulses for fixed power and measure the resulting force. We repeated this for different values, same ratio of 2.5 dBm, of the amplitude on the frequency sweeps. Preliminary data shows we are correct in stepping the frequency sweep so that each aligns, while the delay between the pulses can change. But we are still in the regime of small forces.

We found ourselves still dealing with the issue of pushing the atoms in the wrong direction, which is dictated by the direction of the first pulse that hits the atomic beam. While changing some components we realized that by blocking the -kv beam, being "off resonance" in the +kv beam (done by adjusting the DC to on the lock-in signal) we find a no force with the RF from the pulse generator off. We concluded this by turning the RF off meaning CW light on resonance produces a force as we would expect. But in the case when the RF is on, no force at resonance, only off resonance. Repeating this for the -kv line turning the RF one and off changes the "width" of the force but there is no real difference. This indicates that the modulation on the +kv beam is off and not doing what we would expect in some way. This is going to the focus of our work in the coming weeks.


Friday, September 20th 2013

Today the group met to discuss ARP and go over some of the problems we have been having. One idea that was suggested was to run the experiment with the beams at 1/100 Power for each single beam. We are hesitant to do this because our alignment for ARP is pretty good. This was suggested because we may be power broadened such that a signle excitation will detune the atom slightly (from its velocity change) but the power broadeningstill covers that regime so it should not neccesarily matter. Additionally while we know that the beam shapes are not exactly the same. Whatever causes the atoms to be pushed to the left is consistent, we have no seen this to change while the right push changes. We also discussed changing the MCP, because of problems due to burning the MCP since we have to run the voltage on it so high to obtain good resolution. While many suggestions were brought up the most important thing we need to examine is the force in the wrong direction because it has been evident for awhile.


Friday, September 13th 2013

Today was my first day back after John and Yuan did a lot to the lasers and reducing the signal to noise ratio on both lock-in signals. John and I made plans to see how the components of the experiment are and take some data, whether good or bad. The things we were primarily checking was the alignment of the laser beams, the frequency sweep, and the overall force on the atoms. The procedure we contrusted once these were checked was to take force maps for three different power ratios, the same that we did on August 20th 2013. This way we will get a good understanding of the Rabi Frequencies and wehre we are on the force map.

After going through the procedure of setting the powers, then sweeping the frequency, and repeating we did this for the three different ratios of power. During the whole process the forces seen on the phosphor screen were all pretty weak. We have this characteristic problem of sending too many atoms in the wrong direction. While these have been the strongest forces we have seen in awhile, we are not convinced it is ARP because of the way the atoms respond to the light.

Thursday, August 29th 2013

Today the laser is still very noisy and not behaving. It retains its characteristic jumping on the lock signal up and down. The lock-in signal is slightly better then in previous days from the tuning that John and Yuan had done. The SAS cell and in return the lock-in signal repsonds to male voices, primarily deeper ones. As we talk we can observe an increase amount of noise in the lock-in signal.

We continued to observe the input and output signals to the PID through Labview. We started experimenting with tones being played off the computer speaksers and found that the signal gets extremely noisy at 600Hz and will even respond to frequencies 600 ± 10 Hz. The whole time we were doing this the PID tracks the error signal really well which is a good sign meaning the PID is doing what it should.

Once we realized this acoustical resonance Chris took a tone generator from his phone, at 600 Hz, and started to localize what was responding to this tone because some component was clearly resonanting. It was not any component of the SASpec set up so we took the lid off the extended vacity to check out the optics inside. Using the tone generator we localized the problem to the beam splitter in the extended cavity.

Knowing what the problem is, is a huge step in experimental physics because then one can go about solving it. But in the instance when there are so many variables it becomes difficult to determine what is the smoking gun.

The beam splitter in the cavity has a mirror between two plastic holders held together with apoxy and wax. When Chris put his phone over the beamsplitter the nose on the scope increased significantly. To further our conclusion we put a metal bracket on the top of the beamsplitter, which would dampen the vibrations and increase the value of the resonant frequency. Then we played the 600 Hz and saw no responce on the scope. Then we increased the frequency of the tone and saw a responce at 850 Hz which is what we expected in terms of adding the bracket to the beamsplitter. Tomorrow John and Yuan are going to document this phenomena and replace the beamsplitter.


Wednesday, August 28th 2013

Over the past week and a half there has been problems with the +kv laser locking system. The laser will not stay locked for long and it periodically jumps lock after >60 seconds. Currently John and Yuan have been working to fix this. When I entered the lab they were measuring the input signal to the PID (Proportional-Integral-Derivative) Controller as well as its output. The output feeds an voltage to the PZT to correct any error that the input reads. This locks the frequency feedback into the laser and therefore locks the frequency output. Under good operation, the output from the PID should track the input signal.

As we track these two signals over time we observe sharp jumps in the input signal. If the SASpec cell is off, the laser signal still jumps up and down meaning the problem is probably related to the laser or the laser cavity itself. If we block the PZT the jumping goes away, but the PZT also sends light to the SAS cell, so by blocking the PZT we are blocking the lock signal as well. This attempt is futile is solving our problem.

The next thing we did was turn on the -kv laser, and then we locked it to get a baseline for our input/output readings. We cleaned up the -kv lock-in signal and reduced the noise on it greatly. By doing this we really cleaned up the signal and then Yuan took a screenshot of labview which was measuring the input and output of the PID. Afterward, Yuan began cooling his source so that he can use the +kv light, which he uses for a bichromatic force, to see if the laser is stable. He uses this technique to push non-Rydberg particles to give an absolute efficiency measurement of his Rydberg production. At the end of the day, because we tuned the feedback into the diode, the noise on the +kv lock-in signal was reduced significantly. But as Yuan observed it would still jump up and down for some unknown reason.


Wednesday, August 21st 2013

When I entered the lab this morning I was able to find laser resonance immediately. This is a by-product from John and I cleaning up the noise on the lock-in signals yesterday. As a result we are able to determine that all then noise was from the RF amplifier. I still noticed large drifts in the resonance peaks over time but John told me this is inherent to the system and not a problem we need to concern ourselves with.

We still have some distortion in our frequency lock set up. We do not believe it is because of the Helium cell itself but possibly from the lasers themselves or the alignment at the Doppler-free spectroscopy. To determine the cause we switched out one of the fibers to the cell to see if that was the source of the problem. This resulted in sharper peaks but if we locked the laser it would still jump up and down on the scope over time. We can also see this on the CCD camera when the force on the atoms "breathes" as the laser lock jumps.

Our next step was to check into the extended cavity of the diode lasers and see any apparent problems. Our first inspection showed no apparent misalignment or any beam clipping of that sort. After getting Chris' opinion and checking some of the electrical components we concluded that it was not an electrical by-product but optical.

The problem as we narrowed down, is optical since we have checked all the electrical systems involved in laser locking system, and switched them from the -kv line (which does not have this problem) and have saw no change. The problem is the alignment in both the extended cavity and the SASpec cell are complicated and difficult to change. John and I tried to spend sometime on the alignment in the cavity but because it is open, anytime he moved his hand the laser frequency would fluctuate. This is why we have a cover that houses the extended cavity day to day. Additionally it is hard to turn one beam splitters knob because it ones hand or the misalignment maybe then block the beam going through the SASpec getting picked up by the photodiode and we have no reading now. In doing so the lasers mode-hop and we kept going on.

Because Chris is running later we had to turn everything off and would not be able to come back to it until next week as all three grad students share equipment and we have already ran this week. Next weeks goal will be to discuss this issue with others and figure out the best way to debug and fix the problem.

Below are pictures showcasing both diodes extended cavities, the Saturation Spectroscopy set up, and the vacuum system we use in ARP.

Each diode uses feedback light to lock its frequency, controlled by path length from the PZT. Beamsplitters take a portion of the light and send it to the SASpec set up.

The arrows indicate only the -kv beam line, but in reality the +kv beam line also exists in this picture as well. We single out the 23S->23P transition at 1083.33nm through spectral hole burning.

The vacuum chamber used in both the ARP and Bichromatic Force experiments. Here this simple diagram below is a top down view of the lasers and the detection schemes.


Tuesday, August 20th 2013

Yesterday, John did some touch up to the alignment. Based on what he did yesterday, to match the Rabi frequencies we are assuming that both beams vertical sizes (in the direction of propagation) are the same. Additionally we already know the beams horizontal sizes because the orientation of the cylindrical lens' only adjust beam size in one direction. As a result we can then set the powers so that both beam lines have the same Rabi frequency.

Today the goal was to take three force maps, one for each case: P+=1.4P-, P+=1.2P-, P+=P-. This will give us a clear understanding of these relationships and which one is the best to continue with going forward. Unfortunately the lasers were not happy this morning, as they did not want to stay locked. As we continued to wait to see if this would improve, they did not. After lunch we hope that they will behave.

After lunch we got the source cool again, but the +kv laser would still not stay locked. We can not take force maps if it will not stay locked because we take about 400 images at different detuning amplitudes which takes about 2 minutes. If the laser does not stay locked, it will change the force on the atoms and as a result compromise our data. While the lasers would not stay locked we spent some time adjusting the delay of the frequency sweep in both lasers so they were centered on top of each other. About halfway through the first force map we had to stop all together because the lasers would not stay locked.

Another problem we have encountered was some inherent detuning that we believe is causing us to lock the lasers to slightly off resonance. We believe so because adjustments to the DC level on the voltage ramp, which supplies the PZT in our extended laser cavity, show that off resonance results in the strongest force. We also have another problem of the noise levels in our locking signals. We first began to fix the noise from the SASpec signal, which is a 60MHz signal picked up by the atoms in the Helium cell. To curb this, we changed the RF amplifier and now the signal is gone. We also minimized the signal generated by the lock-in amplifiers, while maximizing their sweep range by adjusting the phase as described in their user manuals.

Tomorrow we are going to see if these corrections curbed the apparent detuning, or if we need to further investigate its source.


Wednesday, August 14th 2013

We ran both Monday and Tuesday and so we knew Chris and Yuan were going to run the rest of the week. Since we share equipment no one can run at the same time. As a result of the promising data we took on Tuesday, Chris suggested we try to take a force map early morning today before he runs in the afternoon. As a result we came in early to turn everything on and go about the process of taking a force map. When we came in we realized there was a power shut off overnight. This is significant to a lab, especially one with a vacuum system. We have turbo pumps that run all day and night and if they immediately shut off then the vacuum starts to rise to air and because the pumps run using oil, that oil can then leak into the system. Now while the turbos kick back on after a shut off, most of the other electronics do not, including the temperature controllers to the diodes. As a result our pressures were a little high but we are going to cool the source and see how the vacuum system responds.

Once we got the source cool and everything was turned on we set the powers arbitrarily to +kv = 1.4W and -kv = 1.0W. I say arbitrarily because we do not know the exact beam sizes on the atoms, as I mentioned in the previous days post. The next step was to adjusting the delay on the frequency sweep so that each beam line has symmetric Fabry-Perot signals. Once this was done we began the process of taking force maps. John did some calculations to figure out what the ratios of the beam powers should be factoring in the beams new waist size, which we approximated. After we figured this out we went about the task of taking force maps which means we vary the Rabi Frequency Ωo by changing the powers at different steps. At each power step, we then have a computer program which will step the amplitude of the frequency sweep δo. At that time then we take the average of a force video for 10s. Changing both parameters will give us what we call a force map. Which is the force as a function both the Rabi Frequency and the frequency sweep amplitude.

While John was analyzing that data, Seth and I prepared a short powerpoint presentation of our research this summer for the final LTC luncheon. It was a very brief overview of the ARP experiment, and included many of the problems we have had throughout. Afterward, Dr. Metcalf gave the undergrads a mini lecture on the Bloch Equations, and their derivation. It is extremely insightful and interesting to see how one goes from the Schrodinger equation, add in light interaction, to a simple two level system. Then how Feynman, Vernon, Hellworth 1957 took Rabi's problem and then make the equations real. It is also amazing how Dr. Metcalf said these Bloch Equations describe any two level system that physics can describe. The process behind how the ARP force works is directly related to the Bloch Sphere and how the states evolve.


Tuesday, August 13th 2013

When we began today by touching up the aligning we did yesterday, we found the beam was being clipped off a mirror creating diffraction patterns. As a result we had to go back and redo all the aligning from yesterday. After much more aligning of the periscope and walking the beam onto the center of each mirror, through the Helmholtz coils, we got that back to a point where we felt comfortable. At about this time we got a new 160L tank full of LN2. When John and I went to fill up a 2L container, the valve took a hard turn to open. Then when we went to close the valve and it would not close. It was not that the valve was frozen because we regularly fill 4L containers with liquid nitrogen. We had four people all try to turn it, with gloves to grip the valve and it just would not close.

At this point liquid nitrogen is flowing into the 2L container and evaporating out at a quick rate, so we had to open the lab doors because the evaporating liquid nitrogen can make a high concentration of nitrogen in the room and suffocate an individual. We tried using a heat gun to heat the valve section, in case it was frozen, but when we got it warm the valve still would not close. With the help of Rich Lefferts we were able to remove the nozzle from the broken tank, and then connect the out pouring liquid nitrogen to another tank where it would fill that one. At this point we opened the vent valve on the empty tank, so that no high pressure would build up and also a pressure difference between the tanks so it would flow into the empty one. At this point we were able to salvage about 3/8 of the original tank and quickly called the supply company to tell them about our troubles.

After lunch we realized that the +kv beam was being clipped off a mirror again. As a result we had to align the periscope optics for the 6th time. This time we completely took out the periscope and set it up from scratch. We finally got it to the point where the beams were aligned, completely on top of each other, and passing through the center of the Helmholtz coils. It took awhile but we knew the alignment was good when we had to worry about the +kv beam entering the -kv 4WFA as it tracked through the vacuum system, down the -kv periscope and all the way through the optics toward the -kv output coupler. This can be easily solved with the slightest change in position of the +kv beam without jeopardizing what we just did, because all the -kv optics will skew its path further. We have also installed two cylindrical lens', of focal lengths 200m & 150mm, before the vacuum windows with hopes of focusing the beams waist onto the atoms and increasing the Rabi frequency which should in turn improve our forces.

At this point it was time to observe the forces on the atoms, and take some measurements. We took the force as a function of the pulse delay, as we swept the pulse delays (keeping one constant and moving the other pulse with respect to it). We did this by changing the delay out of the pulse generators. We also took corresponding fast photodiode traces of the pulses at each step. We took the delay in 13 steps all changed by 1ns. Looking at the forces they look much cleaner and the alignment seems to have played a big role. Before we took the force pictures we saw some really strange pulsating noise effects from the lasers, which could be because of the laser-locking system, or from back reflections in one beams 4WFA from the other beam. At the end of the day we took a 14th picture which was the best force we have seen in awhile, with the frequency sweep on meaning it was an ARP force. This was a very rough approximation though because the frequency sweeps were not centered, and we do not exactly know both beams sizes at the atoms meaning we do not know if the Rabi Frequencies are matched. All these pictures were taken with the Helmholtz coils at 2A. Other parameters for this 14th image of "strong" force are .0251µs delay on the +kv, .013µs delay on the -kv, a 14.9% duty cycle for both, 3.9Vpp and a .75V offset for both pulses. Our frequency sweep was characterized by a 160MHz signal with an amplitude of 60mW.


Monday, August 12th 2013

This morning after we got everything up and running, John realized that the alignment at the vacuum system was way off because we were not going through the center of the Helmholtz coils. We know this because if we lower the coils, the bar that holds the coils in place should impede the path of the laser beam. The bar is above the center of the coils, and gives us a good reference point.

This is a problem because we are effectively not passing through the center of the atomic beam, since the atoms pass through the center of the coils, while the lasers are perpendicular to the beams path. We use the coils to split the fine structure of the metastable state for purposes of optical pumping. Although John told me that ARP should work whether or not we optically pump. The act of optical pumping sends all the electrons in each state over to a magnetic sub level where all the electrons can only excite to one possible state, and as a result through stimulated emission or spontaneous decay they all fall down to the same state they started in. In essence all the electrons have the same Clebsh-Gordan Coefficients, or probability to be excited.

As a result we had to spend the rest of the day aligning optics. We have thought for some time that our alignment was off and it could be made better. Now this was our chance to do so. We align the +kv beam line to start, and the after we set the -kv around that. To align the +kv we had to walk the beam through the center of the coils, and then make sure that in both the horizontal and vertical directions the beam remained straight in its path. To do so we had to take height and position measurements right after the vacuum window, and at a further distance which was about 4 meters away.

The process of aligning optics is pretty slow and takes time because it is very tedious. It took us the rest of the morning and all afternoon just to align the +kv beam to where we liked it. We had problems with clipping the beam on the mirrors and the coils. At one point we took down and rest out entire periscope set up. Finally we were able to have the +kv beam pass through the center of the coils, and the aligning the -kv on top of that was a much easier process because we already have a reference point established. Tomorrow we are going to test this alignment and hopefully observe some stronger forces on the atoms.


Thursday, August 8th 2013

This morning we turned on the laser racks, lit the SASpec cell, and then began cooling the source. Which is all normal procedure to run ARP. The goal of today was to put two cylindrical lens' in front of both beam lines before the vacuum system. We are doing so because it will focus the beams in the vertical direction. Doing this will increase the Rabi Frequency, which should in turn increase force exerted on the atoms. At the beginning of the day we saw some good forces on the atoms, but there was also atoms pushed in the opposite direction. This we attribute to the pulse delay being off. Since we only have one output from the pulse generator we cannot electronically set the delay from there. Instead, we have to set the delay optically which we do before the -kv line gets coupled into a fiber before the 4WFA. When we calculated the delay of the beams at the atoms, knowing other constants, it was .66ns. John has an excel spreadsheet that can calculate the distance we then need to move one pulse with respect to the other such that the delay is 3.125ns at the atoms. This came out to be 14 inches. The way we do this is to take a cats eye telescope on the -kv beam line, and move that back 14 inches.

I must first note that the two cylindrical lens' do not have the same focal lengths, and we just placed them in front of the vacuum system at an arbitrary distance so the beam sizes are not matched. This means we cannot set the powers in the beam lines accordingly. We are only doing this to get a rough idea of how the forces look, with an increase in Rabi frequency. Past forces we have observed seem to hit a certain saturation limit, one we cannot exceed. In focusing the beam we should be able to surpass this. At first observation we seemed to have succeeded in doing so, with both lens' placed. If we choose to continue with this then we have to carefully align and place the cylindrical lens' into a telescope so that we can match beam sizes to a desired size. From looking at the CCD cameras projection, we were clearly able to push slow atoms past the saturation point I previously mentioned. This is a good sign, but the point of maximum force appears to be at the same point as in the past months.

After we set the cats eye telescope, in the delay stage, to the new desired position we had to recouple light into the fiber that brings light into the 4WFA. This is because the beam size has shrunk as a result in the change of distance from the coupler to a lens that focus' light onto the retroreflected mirror. The cats eye telescope is essentially equivalent to having two lens' of the same focal length separated by twice their focal length. But we have trouble coupling enough light into the fiber, so that we can seed the 4WFA. After saturating the CCD camera we could only get .53mW of power through the coupler. This is .53mW of mostly non-1083.33nm light because the Booster Optical Amplifiers (BOA's) generate and amplify light outside of 1083.33nm because the gain curve of that specific device is not centered at 1083.33nm, but ~1040nm.

We spent so much time trying to coupling light into the fiber from this new delay stage, without any progress is increasing the power. This is why we gave up this method of delay, and set the cats eye telescope back to its original position. At this point we needed to couple the light into the fiber once again. As a result we had to go back to having two output signals from the pulse generator because we cannot easily change the delay otherwise, meaning the optics, as described above. After we made this change, we took two force pictures for group meeting. The most concerning thing when we tried to do so was that changing the delay between the pulses had no influence on the force. Everything about ARP says that it should, raising our concern. At this point we went to group meeting to discuss these issues and see if anyone else had some insight. What we do know is that these forces are certainly not a product of ARP.


Wednesday, August 7th 2013

Yesterday we had to make a new fiber tip, one which broke on Friday. We use epoxy to connect the ferrel to the fiber tip and then let it sit to dry overnight. The afternoon was spent outside of the lab, where John explained to Seth, Stefan and I how the phase & amplitude modulator work, as well as how the frequency sweep affects the two-level atom. He did so from the perspective of the Bloch Sphere. This is the key to ARP, because the reason we use a frequency sweep is found in the Optical Bloch Equations. Once one understands this, then one can understand how in theory ARP is extremely robust and applicable with respects to laser cooling. This is because of the large force it can exert over a wide distribution of velocities.

Today we polished the fiber tip we made yesterday, which is on the +kv line to the FP, making coupling light into the next step. While we were doing this we needed also polish & clean other fiber tips around the Fabry-Perot and fast photodiode set up. We then took two scope traces of the pulse shapes because last week John ordered a new fast photodiode so we did this to compare to previous traces.

With the time we had before the Laser Teaching Center luncheon, we lit the source and went about the procedure to observe a force on the atom. This is so we can get a baseline for the next couple days into next week. John told me that two weeks ago when we took force maps, we had a 30/70 beam splitter window in the path of our -kv line, meaning we did not have the correct power matching that we wanted, affecting the forces that we saw. We want both beams Rabi frequencies to be matched, so because the -kv beam is .32cm (smaller but the intensity is more focused) the +kv beam line (.385cm wide) should have 40% more power then the -kv. In other words P+kv=1.4P-kv. So when the -kv beam lines power gets cut it significantly impacts the Rabi Frequency of that beam, and may now cause stimulated emission to occur slower then stimulated absorption is.

After lunch I spent a good amount of time talking to Stefan about the experiment including the SASpec, the vacuum system, how we create metastable Helium (He*), and the Optical Bloch Equations. We hope to speak to Dr. Metcalf tomorrow more about the OBE's and understanding them. Afterward I took a broken SMA cable, cut both ends & soldered the shell to the inner wiring to make a grounded cable. This cable can then be used anytime a ground is needed in an electrical system. Chris taught me about this and I think its a good idea, and really easy to make.

John & Seth think a possible change is to increase the voltage of the pulses coming out of the pulse generator. To do so, they took on output from the pulse generator, put that through an RF amplifier, then split the signal with both outputs going to each amplitude modulator. After we did this we saw good forces (not great but not bad). Both the frequency spectrum and pulse shapes looked good additionally. Both before lunch and now we saw forces with wings. We could not take any official data because Chris started to run and we needed to turn our stuff off since we share the same vacuum system. Before we left we played with having a cylindrical lens in front of the vacuum system for both beam lines. This is so we can focus the beam waist onto the atoms. When we did so we saw some promising forces on the atoms and this is where we will start tomorrow.


Wednesday, July 24th 2013

After Seth and I got everything turned on this morning, and the source was cooling, Seth, John and I tried to outline certain steps we should take in the coming weeks. We did so because recently we have been hoping that if we turn the right knobs we will suddenly see huge forces! But this has not been the case. So the two big options we have is to either do one beam ARP where we retroreflect a pulse, or we continue doing 2 beam ARP and carefully tune parameters, while taking force maps for each step at different frequency sweep amplitudes. The parameters that we have control of are: pulse delay, pulse amplitude, DC voltage (to the phase modulator), duty cycle, Rabi frequency (corresponding to the beam power), current in the Helmholtz coils, and the frequency sweep amplitude. Most of these parameters are only for one beam too. So it is clear we have a huge parameter space to adjust to try to narrow down the optimum value of certain parameters. But this is a much better, and more systematic way of doing things and we need to start somewhere

The first thing we did back in the lab was replot the delay between the pulses at the atoms as a function of the delay at the pulse generator. This plot is shown below. It shows a nice linear relationship as we would expect. The fit also allows us to predict delays not shown on the graph. For example, we want the actually delay between pulses to be 3.125ns at the atoms. So taking that equation below for the fit, we find that we should set the delay between the pulses at the pulse generator to be -1.35ns. As a result we did just that.

pictures/delay.png

Before lunch we set the powers to be +kv=1.4W and -kv=1.0W, and the pulses have the same amplitudes which is Vpp=3.9V, with both having an offset at the pulse generator of .75V. We decided to take Force Maps for varying pulse amplitudes as a function of different beam powers & sweep amplitudes. This was my first experience at doing data acquisition for a force map. The steps in amplitudes we chose were Vpp=3.9V, 2.6V, & 2V. We did so with different pulse powers and frequency sweep amplitudes. ARP is optimum when the +kv line has 40% more power then the -kv line. Therefore our steps in power were +kv=1.4W & -kv=1.0W, +kv=1.01W & -kv=700mW, +kv=670mW & -kv=460mW, +kv=400mW & -kv=270mW, +kv=190mW & -kv=130mW. The steps in frequency sweeps were from 1µV, 40mV, 80mV, & 120mV. Before we took the force maps when Vpp=2V I accidently hit the RF on/off buttom so we lost phase matching information on the phase modulator. When we tried to get things have we had trouble with pulses at Vpp=1.3V (our initial lowest step) having enough power into the 4WFA so we had to change that step to Vpp=2.0V and did the Vpp=2.6V first. We are going to analyze these force maps tomorrow before group meeting. While taking the data, none of the forces looked good, meaning they did not push the atoms in any coherent way that we would expect, and certainly not in a strong way.


Tuesday, July 23rd 2013

Yesterday, John and Seth did some double checking of the alignment, pulse shapes and delays. They plotted the pulse delays out of the pulse generator vs the delay at the detector and the atoms. The data showed a nice linear relationship as one would hope. This also means that we now have a way to coordinate what a delay at the pulse generator means to a delay at the atoms. They also set the clock within the pulse generator to an internal trigger. They did this because everytime a parameter on the pulse generator would change, the pulse generator would then spit out the pulses with some arbitrary phase. This would affect any process of changing parameters and observing certain results, like the delay of the pulses at the atoms.

The first thing we did today was to realign the topics around the vacuum system. To do so we turned the power coming out of both 4WFA down so that we did not saturate the atoms and therefore we were able to detect the effects of small alignment changes. We then aligned both beams so that they were on top of each other, and so well so that we had to worry about back reflections into the fiber output. We could avoid this by minor changes in the horizontal direction.

The next step was to turn on the modulation stages and see the force on the atoms. Before that we put in a quarter wave plate (to generate circularly polarized light) and a 4mm slit in front of the vacuum system windows. First observation of forces showed no well defined direction, meaning a push in both directions. The frequency spectrum out of the Fabry-Perot looked awful, and therefore we had to realign because there was very little light going back down the table towards it.

We ran into the problem of getting pick up from the SASpec cell, which has coils wrapped around it with an RF frequency traveling through them. Basically the cell, with the coils, acts as an antenna. This results in noise in our fast photodiode because the DC cables to the amplitude modulator are no shielded and they should be. So we took a BNC cable, cut one end and separated the lead from the ground wire and shielded both ends. As a result we were able to minimize the noise.

Looking at the forces afterward, there was still a push in both directions. We were able to adjust some parameters such that the frequency spectrum for the -kv line looked good but both pulses had the same shoulder to them. Dr. Metcalf and John then tried to understand the radiative push for each beam line, just off the screen and knowing the distance an atom gets pushed due to one recoil (as an electron falls to the ground state a photon is emitted and to conserve energy & momentum the atom feels a kick in the direction opposite the direction the photon is emitted). It is hard to understand what parameters are causing the force to show no specific directionality.

We ended the day taking two force maps, one for a pi-pulse and one for ARP (we turned the phase modulation frequency sweep on). We have hit a point in the experiment where we can not hope to turn everything on, turn a couple dials and then we have huge forces because we have tried that for weeks now. At the end of the day we though of the different paths we need to take from here on out and these include the following: 1) Go to one beam ARP, turn on the frequency sweep and see the types of forces from that or 2)Methodically change parameters & measure everything at once (forces, freq. spectrum, pulse shape, pulse gen. parameters) and measure the correlation between parameters. Both of these options come with their own problems and I feel that we should not jump into either option but to methodically plan each one out and compare the pro's and con's.


Thursday, July 18th 2013

I went into the lab this morning and was able to turn everything on by myself. It feels really good to be able to know the laser systems and all the electronics enough to do so. The SASpec cell signal was extremely noisy and takes a much longer time to warm up, making it harder to find resonance in the lasers. With regards to what we need to do today, we want to check optical alignments and all the electronic components from our new pulse generator. As a result we do not need to cool the source, or send Helium into the vacuum system.

Our first goal today was to make a clean pulse out of the new pulse generator, which has its signaled amplified by an RF amplifier. First we tried a smaller gain amplifier, 25dbm, but it only allows 5dbm inputs and as a result we had a hard time getting the signal we wanted through. Using a different amplifier, a high power 33dbm, we took a trace of the pulse output after the RF amplifier using the pulse parameters as we did yesterday. The first trace (blue) has a 6dbm attenuator on the scope and a 3dbm attenuator to the input of the amplifier. The next trace (red) had a 7dbm attenuator to the amplifier. Finally the yellow curve had a 6dbm attenuator on the scope. All three of these are shown below, as well as a pulse (green) after the amplitude modulator with a .19Vpp signal out of the pulse generator. As you can see the electric signal output is not affected by these different levels of attenuation.

pictures/plot1to4.png

The next thing we did was look at the pulses after the amplitude modulator as a function of different parameters. Since we can tell that the attenuation level does not matter, what we want to adjust is the DC voltage input to the amplitude modulator, and the Vpp on the pulse generator. This has all been done for one beam line, the +kv, and if we are satisfied with the results well look for another RF amplifier for the -kv line. below is a plot showing the electric signal (blue) and the pulse after the amplitude modulator (red) for a DC voltage feeding the amplitude modulator at 4.5V, with a 6dbm attenuator on the modulator input.

pictures/Plot05.png

The next graph shows the electric signal (blue) for a .1Vpp with a 4.5DC voltage supply to the amplitude modulator.

pictures/Plot06.png

Finally the graph below shows a electric signal (blue) for a .12Vpp with a 4.5DC voltage supply to the amplitude modulator.

pictures/Plot07.png

Below is a normalize graph showing all the pulses after the modulator for each of the three cases above. As you can tell the small changes do not matter, and we have an overall good pulse. The biggest gain is that day to day when can easily recreate these pulses, so consistency is on our side. Since Yuan is running tomorrow we have to wait till Monday to test further. We want to see how the atoms respond to this new pulse, and then methodically change parameters and test the force as a function of these changes.

pictures/threepulses.png


Wednesday, July 17th 2013

This morning I took the time to contact several companies, and professors here at Stony Brook about renting/borrowing a high frequency pulse generator. My first trip was to the electronics shop where I asked the guys if they knew of any groups right off hand that had what we are looking for (320MHz pulse train at a quarter duty cycle with ~5V amplitude. They told me to contact Professor Du, Professor Schneble, and Professor Rijssenbeek. I spoke to Professor Schneble's graduate students and they said they did not have any pulse generators at that high of a frequency. I am awaiting an email from Professor Rijsseenbeek, who is currently at CERN in Switzerland. Professor Du said he has inherited some RF pulse generators and told us to go to his lab and talk to his graduate students so they could show us around.

Before I spoke to Professor Du, I emailed Agilent, Test Equity, and Metric Test, all companies that offer the pulse generators that we are looking for (Agilent 81112A 330MHz 2Ch. Output or a Agilent 81130A 600MHz 2Ch. Output). I asked each company for a quote to rent out either of these devices, and I asked Agilent some technical questions to open up a dialogue. At the end of the day only Test Equity responded to me notifying that they do not currently have those two devices, probably out for rental, but will contact me within a month if they do get it back. They said that the rental cost would be ~$650/month.

When I went to Professor Du's lab with Seth and John we found a Tektronix DTF5274 that seemed to fit the specifications we needed. Upon looking at the manual the only problem was its max output voltage ~3.5V peak-peak. Regardless, with nothing else to do, we took it into our lab and began testing its pulse generation measured on a scope. The device will only output square-waves, but the pulse generators we currently use do that as well so we know if we fine tune some parameters we should be able to generate a triangle-shaped wave that we want. John got to the point where we could form a signal similar to a triangle-wave, and afterward we worked on matching the second pulse output to the same, as well as understanding how to adjust the delay between the two. This is so much easier because we can measure & record each parameter digitally! Our next step was to put this into the system, which inputs an RF signal to both amplitude modulators.

First observations have given us the same unclean Fabry-Perot spectrum and pulse shape as we have had in the past couple weeks. The biggest bright side is that we can easily recreate these pulses, with options to save the settings that we choose to! We ended the day with the same pulse generator parameters we started with. We are concerned with the limited voltage of this new pulse generator so we added an RF amplifier to the output. The only problem with this amplifier is that it does not amplify signals evenly throughout different frequencies, and not even in a coherent manner (say like a Guassian curve). The gain is also large on the amplifier so we amplify our noise signals greatly as well. Tomorrow morning we will see if having an amplified signal will generate better pulses and see what effects it has on the atoms as well. This was a very good day in that we now have a device that we can record the changes we make to the pulse generator in a coherent fashion because it is all digital.


Tuesday, July 16th 2013

When Seth and I came into the lab this morning, as we started turning things on, we noticed slight differences in some of the scope settings. This is because Yuan ran yesterday and uses the +kv line for laser cooling in his experiment STIRAP. As a result we needed to realign some optics and change some polarizations to maximize power output in this line. First we noticed that the photodiode used in our Saturation Spectroscopy set up (used to lock the laser frequency) was no responding to any signal. Upon further investigation we found out the problem was the BNC cable connecting the photodiode to the oscilloscope, as well as a voltage amplifier powering the signal. For some reason, over night, these devices decided not to work so we replaced both. There was also alignment issues into the photodiode but that was easily fixed.

Our next task was to maximize the power coming out of the diode cavity down towards the modulators. Since John and Yuan use slightly different polarizations when coupled into their respective fibers. We also realized Yuan, not knowing we made changes to the +kv line, took out a fiber going into our 4WFA so we needed to notify him and replace that. The changes made were to free-space the beam so that it could pass through a band-pass filter which only lets 1083.33nm light through. Afterward we realigned the fiber, the one I screwed up on Thursday, going from the 4WFA to the modulation side of the table (where we measure the frequency spectrum through a Fabry-Perot and the pulse shape through a fast photodiode). We got to about 20% coupling efficiency, got greedy and fought our way back to get to 15% coupling efficiency. We were happy with this for the moment because that was 4x better then the coupling efficiency Seth and John had on Friday.

After lunch we got the source cooled, and continued working obtaining clean pulse shapes and frequency spectrums for both beam lines while maintaining enough power down the line in order to proper send seed light into the 4WFA. When we got to a spot we liked on the fast photo-diode and scope we set the powers between the beams so that the +kv line has 40% more power then -kv line. I the +kv to 1.6W, then turned a half-wave plate so that .2W went down the line to the FP (Fabry-Perot) and FPD (fast photodiode), and 1.4W of light goes to the atoms. I then repeated the same process for the -kv line so that it had 1.2W of power originally then after turning a half-wave plate for the same reasons had 1W of power going to the atoms

We found that we could not adjust the pulse generator parameters (delay & width) to any point so that the atoms saw a large force. This is the same problem we have had for weeks and after turning only 6 dials, with limitations on how far I could turn them due to power issues going into the 4WFA, we really were not sure what to do next. We ended the day with getting best forces we could, but they were still the same as Friday, and not that strong in terms of ARP's potential. John, Seth and I feel we have really exhausted all resources from the pulse generators. The only thing to do next is try to find a high frequency pulse generator from other physics groups in the department, or try to rent on with hopes of testing a newer pulse generator and its implications on the system. The problem is the dials cross-talk and 1/3 of the ones we use are vernier meaning an arbitrary scale. This means we can take no qualitative measurements of the force as a function of the pulse generators parameters.


Monday, July 15th 2013

On Friday, John and Seth were aligning optics and then unfortunately blew out a fiber tip. Once they made a new fiber head and installed a tip they needed to wait over the weekend for the epoxy to dry. The blown fiber tip was a result that they thought, from control of polarization, most of the light was going down the line to the vacuum system when it was actually going down the table to where we measure the frequency spectrum on the Fabry-Perot and pulse shape on the fast photodiode.

Today, Yuan is running so the only thing we could really do is to polish the new fiber tip that John & Seth installed on Friday. Once we got the fibertip polished we will have to recouple it tomorrow. The other thing we could address was a problem with one of the pressure gauge that measures the beam source & backing. The device would turn off and on at random times, so we took it apart to see what was the issue. Upon examination of the circuitry we saw some residue build up under a transformer, most likely due to incorrect heat dissipation from a large current. Other then that all the other circuitry looked fine, and there was no blown component. Since we have no other leads we are going to leave it plugged in over a day to see if certain components get really too hot. Hopefully someone will be in the lab when the device turns off/on again and at that time we can observe how hot this transformer is or the other components as well.

Because we have had a lot of trouble with respects to our pulse shape and the corresponding frequency spectrum Dr. Metcalf thought it would be a good exercise for me to utilize Mathematica and do some further analysis. We believe that when we have a good frequency spectrum, but a poor pulse shape this is because of phase shifts on different frequency components. What I am going to do is try to recreate a correct frequency spectrum that, if one took the inverse Fourier transform one would get a clean pulse shape. Afterward my plan is to change the phases of some individual components of the spectrum and see what the corresponding pulse shape would be.


Thursday, July 11th 2013

At the end of yesterday we had to change our pulse shapes to a 33.3% duty cycle, meaning the pulses are 4.1ns wide, oppose to the normal 25% duty cycle (3.125ns). The goal of today is to see how the force on the atoms differs. We needed to change the pulse size so that there would be enough power going into the 4WFA. At the beginning of the day the frequency spectrum for both beam lines is almost identical. The next step is to tune the phase modulator frequency sweep to the right spot on the signal coming from the RF generator (for reasons discussed in yesterdays journal).

Once we were able to do that, the next task was to recouple the light coming out of the 4WFA that goes back down the table to be measured by the Fabry-Perot and Fast Photodiode. Additionally we needed to adjust the delay at the vacuum system so that the two pulses are directly on top of each other. My task was to recouple the light, while Seth and John set the delay. I once again had the task of coupling light into a fiber, and maximize the light going through. I started with having 6mW coming out the other side of the fiber and was able to maximize it to 9mW. I then got greedy trying to get more power and went completely off track. At this point I needed to realign both beam walking mirrors and start with a CCD camera until I saturated the screen, then worked my way to a power meter. It took until after lunch to get all the power back through the fiber and is a testament to how tricky coupling light into a fiber is.


Wednesday, July 10th 2013

Yesterday when I mentioned the DC offset we believe that it is a result of the detector. We think this because if we increase the amount the light entering the fast photodiode, the DC offset did not change. With respect to the rest of the experiment, as we have tried most of things we are going to turn on the frequency sweep (connected to the phase modulator) and try to get the best pulses & forces from there. Before lunch we realigned the Fabry-Perot setup, because it has not been done in awhile. The PBC (used to combine both beams, and as a result couple one beam line into the Fabry-Perot instead of two) was loose on its mount so we fixed that and the realigned the other mirrors. While one beam's frequency spectrum looks great with CW (continuous wavelength) light (a sharp spike at that one frequency), the other has some asymmetries.

After lunch we began by adjusting the frequency sweep and the delay from the pulse generators. At the moment we were observing the best frequency spectrum (through the frequency swept phase modulator) at the incorrect phase of the pulse. We want to sweep the frequency at the time when the sine waves derivative changes the most, which is before and after the peak or trough. This is because dΦ/dt = δ(frequency).

To make some further changes we took a fiber with two inputs and one output and put that at the Fabry-Perot in place of two different fiber couplers, we now have one. This gives us better coupling ability, since it is out of one fiber coupler, because that specific coupler would mode-match with the Fabry-Perot giving a symmetric spectrum while the other beam's line did not.

While we try to adjust the characteristics of the pulse generator, power issues occur and the 4W fiber amplifier wont amplify the light due to its internal software causing it to shut off if the input light falls below -3dBm. As a result we needed to adjust a fiber coupler that brings light from one end of the table towards the 4WFA. Additionally we fixed the alignment at the vacuum system that we did yesterday as we are not interacting with the atomic beam at its center.

We were able to get a food spectrum for the -kv line and with a turn of the DC to the amplitude modulator we got a pulse pulse shape on the fast photodiode as well! Unfortunately there was a loss in power from some reason, such that the 4WFA (4W fiber amplifier) wont amplify the light (for reasons discussed above). As a result the atoms wont respond to any force (this is because the Rabi Frequency is proportionality to laser intensity). Now we need to fix this significant power loss issues, and leave the pulse generators on overnight since there is no consistency to their output if we turn them off (which is not typical and does not make much sense, but they are 30yrs old).

At the end of the day we were only able to get enough power if we increased the duty cycle of the pulse generator to 33% (~4ns pulse) from the intended 25% (~3ns pulse). This means that the interaction time of the atoms is changed but we kept this setting on the pulse generator for the night because we have good pulses and a good frequency spectrum in both lines. Hopefully tomorrow when we turn things on it will be consistent with how it is at the end of today.


Tuesday, July 9th 2013

Yesterday we ran out of LN2 and therefore we could not run the experiment. This morning a new tank came so we were able to run. Our first step was to realign the optics at the vacuum system so that both laser beams were on top of each other, and we also aligned the beams off perpendicular to the He* so that there were off by abut 4mradians. This goes back to when John and a previous grad student Dan Stack ran ARP they did this to account for the Zeeman effect, due to 2A Helmholtz coils inside the vacuum system. In this case our +kv line (which drives the stimulated absorption) is on resonance while the -kv line (drives stimulated emission) is 2δzeeman off resonance. This is because the conditions for response due to the laser being resonant or not are stricter for the +kv line, than the -kv line. After lunch we were able to get this all aligned, to a point where it was much better than in previous months.

Afterward we checked the pulse shape & frequency spectrum of both lines. Even though we have not changed anything since last Wednesday (when we had good forces on the atoms) everything was completely off. This brought us back to the problem of having a lot of trouble with the pulse generators in creating accurate pulses. At the same time we were not even looking at the frequency spectrum. Most of the knobs do not even do what their supposed to, such as the pulse width knob if turned too far stops any pulse from being generated. John and I fought with the pulse generator for awhile and when we though we got the pulse shapes to an ok spot, there was a strange DC offset in the -kv line. We put that fast photodiode output into the McPherson Spectrometer that we have and analyzed the power behind each frequency of the pulse. The outcome was that all the power being input was from a frequency at 1083.33nm, which is what we want. This means that this additional power is not from any other frequencies in the pulse. At the end of the day we were still not sure where this DC offset is coming from. John believes it to be a result of an improper ground in some electrical component but at the time we could not locate where.


Wednesday, July 7th 2013

Yesterday we had to make a new fiber that broke on Monday. Once that was done we applied epoxy to connect the ferrel to the fiber tip and let it sit overnight. The afternoon was then spent having John explain the phase & amplitude modulator work and how the frequency sweep affects the two-level atom in the frame of the Bloch Sphere. The Optical Bloch Equations are what explains why ARP is so robust, when it is working. Tomorrow Stefan and I are going to ask Dr. Metcalf to help us further explain the OBE's and their derivation.

Today we started by polishing the fiber tip from yesterday and cleaning it. This is the +kv line to the Fabry-Perot. We also polished and cleaned another fiber tip around the FP & fast photodiode set up because we had trouble getting enough light down the line. Cleaning the fiber tip solved the problem. Then we took two scope traces of the pulse shapes because last week John ordered a new fast photodiode. We took these scope traces to then analyze with previous traces to compare, but from the immediate observation a large amount of noise was not present from this new fast photodiode.

Afterward we had an hour before the last Laser Teaching Center luncheon, so we lit the source with purposes of observing the force we have right now as a baseline for the next couple days into next week. John then told me that two weeks ago when we took force maps we had a 30/70 beam splitter in the path of the -kv beam. This cut the power of the -kv beam and therefore our powers were not matched as we thought. We match the powers because the Rabi Frequency is proportional to the intensity of the laser. So we want to drive stimulated absorption and stimulated emission at an equal rate. The +kv beam has a diameter of .385cm while the -kv beam has a diameter of .32cm. Therefore to match the Rabi Frequencies the +kv beam line should have 40% more power then the -kv. This is because the +kv beam is bigger so intensity is not as focused, as if it had a smaller waist (same power but confined to a smaller area). In other words; P+kv=1.4P-kv.

After lunch I spent a good amount of time talking to Stefan and explaining the basics of the experiment including the SASpec, the vacuum system, how we create metastable Helium (He*), and the Optical Bloch Equations. I then took a broken SMA cable, cut both ends & soldered the shell to the inner wiring to make a ground cable. This cable can then be used for grounds in any electrical system when needed. Chris told me about this and I thought it would be a good idea and good soldering practice.

John and Seth think a possible change is to increase the voltage of the pulses coming out of the pulse generator. We accomplished this by taking one output from the pulse generator, sending it through an RF amplifier, then splitting that into two outputs both of which go into each respective amplitude modulator. After this, and before lunch, we saw good forces, but not great. Additionally both frequency spectrums and pulse shapes looked good. We also saw some forces with wings before and after this change. Because Chris was setting up and about to experiment we did not take any concrete data, but have some promising tasks to do tomorrow. Before we left we played with adding a cylindrical lens in front of each beam line before the vacuum system. This is to focus the waist on the atoms. When we did so we saw some promising forces and this will be the first thing we do tomorrow.


Wednesday, July 3rd 2013

Today our goal was to take comparitive measurements to the data we took on Monday, and analyzed on Tuesday. In the morning once we got everything set up we noticed a large power loss in one of our beam lines. Once we narrowed down the problem to a mirror used to couple light into a fiber it only took a quick turn of a knob to couple all the light back into the fiber. Afterward, the first step was to establish the pulse delay at the vacuum system so that the two pulse peaks are 80MHz apart, and one pulse arises immediately after the first one. This only took some turning of the delay knobs on the pulse generators because we can view the pulse shapes through a fast photodiode right before the vacuum system. Once this was established, we began observing the pi-pulse force exerted on the atoms. We saw good forces, not the strongest but consistent with what we saw on Monday and much better then in previous months. The very interesting thing was that we saw the lasers exerting the strongest force on the atom when the lasers were off resonance. Everything that we know about quantum mechanics and the energy spectrum of Helium tells us if the laser is on resonance then it should exert the strongest force. It is hard to take these measurements though because we need to hold the DC offset to the PZT in the cavity at just the right value and it tends to drift so we have to physically try to hold the knob at that setting. Before lunch we took one data set of the force for resonant light. It was clear that drifts in the DC signal, voltage that powers the pulse generator, causes drifts in the force which are visible in real time.

After lunch we came back to the lab and took some more force measurements when we maximized the pulse shape. We were also able to take some measurements when the lasers were slightly detuned because Seth and I could hold the DC offset on the lasers while John recorded coming off image on the phosphor screen, viewed by a CCD. As an aside, all detection methods are the same as the ones used in the STIRAP experiment more of which information can be found in my STIRAP Journal or in my Papers & Posters section.

Afterward we switched what pulse generator fed what phase modulator, to see the effects and try to understand the quality of each pulse generators output. Once this was done we took a picture of the atoms and saw the similar forces that we saw on Monday (see below). The conclusion was that both pulse generators are very poor (being 30 yrs old), and it is not a case that one is poor, they both are.

With respects to the greatest force off resonance, I wonder if the light and the atoms propagation directions are not perpendicular and therefore a Doppler Shift occurs. My other thoughts would be that there are Helmholtz coils in the vacuum system, and since I am not sure what their purpose is, that could cause a Zeeman splitting, and therefore what we think of a resonant frequency is not.


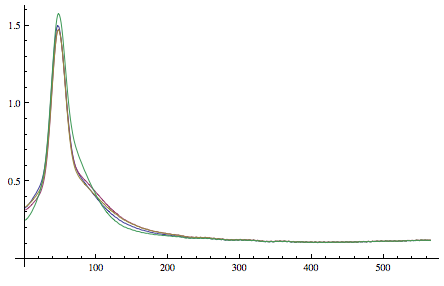
Tuesday, July 2nd 2013

Today was spent analyzing most of the data that we took on Monday. Below is a picture showing clean pulse shapes from the fast photodiode for both of the beam lines, and their corresponding frequency spectrum. As you can tell when we have a clean pulse shape, the frequency spectrum is not ideal.

pictures/cleanfpd.png pictures/fpcleanfpd.png

Next we adjusted the frequency spectrum so we saw a clean Fabry-Perot signal, with a main carrier frequency set up by four side peaks all separated by 80MHz. Below is a picture of this for each beam line, and the corresponding pulse shapes.

pictures/cleanfp.png pictures/fpdcleanfp.png

Next, we want to look at the forces under each circumstance so we can compare the two. Below is an image showing first the forces under a clean fast photodiode signal, then the forces with a clean Fabry-Perot, both under different powers to see if that made a difference as well. Both forces, for each condition, are very similiar even as power varies, John says this because the radiative force has a low saturation intensity. pictures/forcescleanfpd.png pictures/forcescleanfpd.png

Finally, below is a image showing the force on the atoms, under both conditions overlaid on top of each other. As we can tell there is no significant difference between the two. This means that we need to decide how we can level to get both conditions right. It also gives me an opportunity to do some analyzation of a Fourier-Transform of a pulse shape and understand its resulting frequency spectrum. Our next step is to strictly change characteristics of the beams and analyze the resulting force on the atoms because the atoms do not lie.

pictures/forcestwopulse.png


Monday, July 1st 2013

Today John and I wanted to take some more force data on the atoms under different parameters. Once we got the source cold we showed Yuan the problem we are having with either having a nice pulse shape, at the expense of the frequency spectrum, or the other way around. At the moment he could not figure out why but asked that we send him some pulse shape and frequency spectrum graphs for further investigation. We then switched which pulse generators were on what beam line and it was clear that one pulse generator does not operate as well as the other.

After lunch we came back in and decide that we would take data observing the force on the atoms with 1) a clean pulse shape, with the beams at several different frequencies and 2) a clean frequency spectrum, with the beams at several different powers. Since we can not generate a good pulse shape and a good spectrum simultaneously we want to observe the difference in the two with respect to the pi-pulse force we exert on the atoms. First we needed to properly adjust the delay between the two pulses so that the repetition rate is 12ns and the timing between the two pulses are such that immediately after the atoms see one pulse, they see the other. Afterward we started by taking data with two good pulse shapes, at different powers just to cover our bases. Then, at the cost of good pulse shapes, we then generated good frequency spectrum's in each beam line by adjusting the DC supply to the amplitude modulator. Once we turned off the laser's and warmed the vacuum system such that no water condenses in the LN2 chamber overnight, we came back to the office to analyze the data. From preliminary results we saw no real difference in the radiative force pictures for either a good pulse shape, or a good Fabry-Perot spectrum. Tomorrow morning I plan to analyze this data closer so that I can present in at group meeting, and after I will post it to the journal.


Friday, June 28th 2013

I have been a lot about the pulses used in the ARP experiment but I have failed to show any graphics. This is partly due because currently we cannot get any nice looking pulses. Having the right pulse shape, and frequency spectrum is at the heart of this experiment and that is why when we have faulty pulse generators, not much can be done thereafter. Below is figure from a poster that Dr. Metcalfs group presented at the APS DAMOP 2012 conference. Velocity Dependence of the Optical Force Produced by Adiabatic Rapid Passage. This figure shows the pulses after each stage of modulation.

Graphics of Both Beams Pulses After Each Stage of Modulation


Thursday, June 27th 2013

This morning John and I went back into the lab, and were quickly able to get things up and running. Shortly after though we were having trouble with one of the pulse shapes. The pulse generator that we fixed, decides to not work randomly, after all day yesterday it worked fine. After turning knobs in a disorganized fashion we were able to get it output a pulse that we were happy with. When we looked at both pulses on a scope, and overlaid them, they looked identical. But when we looked at the spectrum from the Fabry-Perot they two pulses looked quite different. We were not too sure again why this was. John told me that he has fixed everything else in the system and believes the problem is from the two pulse generators, HP 8802's, are from 1982, making them over 30 years old. Unfortunately new pulse generators cost upwards of $30,000, which is at the low end of prices. Going into group meeting we will discuss our findings, because we did see pi-pulse forces, and talk about the options regarding the old pulse generators. The pulses that these two instruments create are extremely vital to the experiment, and if there is a problem there, nothing else can really happen.

So far, we have been able to observe pi-pulse forces on the atomic beam. The problem is when we try to account for atoms being pushed in the wrong direction. When John adjusts the pulse delay, so that we can overlay one beam on top of the other and then move it past, the atoms being pushed to the wrong direction stay there. This means that the problem is not dependent on the pulse delay. The next thing is to look at the pulse shapes. At group meeting, Chris suggested that we turn on ARP to see what happens. This means we have to chirp the pulses using a frequency sweep. After group meeting John and I went into the lab to do this. The first thing to do is to look at the pulse through the phase modulator. When we fed the input signal from a signal generator, the amplitudes would not match up. When we plotted a graph of output signal amplitude to the amplitude in the phase modulator the linear relationship gave us a slope of ~.875. Once we were able to map that we quickly had issues with one of the pulse generators. This was the same one we repaired, but for logical reason it would stop outputting a pulse until we toyed with the dials in an illogical fashion. Once we figured that out, we measured the pulse through a fast-photodiode and the frequency spectrum through a Fabry-Perot output. Remember that this is only for one beam line, as there are two in this experiment. The pulses that we measure through the fast-photodiode show the pulse shape, and the Fabry-Perot shows us the frequency spectrum of the pulse. Now these both should look good, but when we ended up getting a nice frequency spectrum, the pulse shape was awful. A good frequency spectrum is a large carrier frequency, separated by four peaks each separated by 80MHz. A good pulse shape is a peak with a width of 3.125ns. It again came down to John turning dials in a random fashion to adjust one shape, but it seemed at the expensive of the other. This is a testament to how bad things have gone in this experiment for the past year. It is purely old equipment acting poorly or randomly, and not attributed to how John has set his experiment up. For the past year several crucial components have broken, including a fiber amplifier last summer that was out for repairs for two months. It if a very frustrating situation indeed, and hopefully the weekend and some time away from the experiment will lead us to clear our heads.


Wednesday, June 26th 2013

Today John and I went right into the lab and began turning everything on. I feel very comfortable now turning on the laser systems and the Helium cell that is used for saturation spectroscopy. Even John commented on how nice it was to have someone else in the lab because within 30 minutes we had the lasers on, and the vacuum system cooling. I also know how to lock the lasers by turning the ramp down, and once the DC signal is set to the peak of the laser pulses I turn on the PID which works off a negative feedback system to lock the lasers frequency. Throughout the morning the laser would jump lock, or mode-hop and even though we will get to the point where we need to find tune this, it is usually easy to reset and lock the lasers again. We also had some issues with how much voltage to apply to generate the arc which creates the metastable Helium (He*). This was because yesterday we put back the repaired Welch pump in, as well as change a tubing line, so some parameters in the system were changed but for the better. When we purged the line, before cooling the system, John noted how quickly the repaired pump was pumping the pressure down.

Once everything was running and the laser system was cooled it was time to observe some push on the atoms. This came the time when we needed to adjust some optics before the vacuum system for both line, as well as figure out the pulse timings. Once I put in a quarter wave plate, and a 4mm slit on each beam line, we were able to see a force being exerted on the atoms. Then John began adjusting some dials on the RF generator to work on the pulse timings. We got to the point where we saw pi-pulse forces being exerted on the atoms. We were even able to push atoms to about half where a max force would push them. The problem was that we also saw a good amount of atoms being pushed to the left, we want all the force to be exerted to the right (looking at the monitor). This direction is defined in ARP by which pulse hits the atoms first. John said it was very strange to have so many atoms pushed to the left, say about 40% of them. If these atoms were pushed to the right as well, then we would have been in really good shape. This circumstance, as John said, was characteristic of some component not doing its job but at this time we are not sure of what it is.

For lunch, the LTC put on a small pizza meeting that showcased each students interested and plans for the summer. While the undergrads have been here for two weeks, the high school students who are Simons Fellows just arrived this Monday. It was really interesting to see how informative each student was already in their respective topics which included: Spatial Light Modulators, optical Vortex Beams, optical tweezers, and a talk on 3D technology. It should prove to be a very fun summer, with many different interesting projects being worked on.


Tuesday, June 25th 2013

Yesturday our Welch pump came back from Standard Vacuum, so this morning we just put it back into the system. Currently we are seeing how well it pumps down, with a target pressure of ~7mTorr. At first it pumped well but at around 20mTorr it has slowed down, so after tightening and loosening some screws it is currently lowering pressure slowly. After lunch it should be sufficiently lower, and well enough where we want it to be. The next thing on our agenda is to correct the pulse timing with respect to the pulse delay, and the time scale of the phase modulator. We need both pulses to be exactly on the time scale of the phase modulators, otherwise there is distortion in the pulse. At the same time we need have the delay between the two pulses fixed. After lunch we are going to have to play the fine-tuning game. What we plan is, is to make t1(the difference in time between peaks of phase modulator and pulse) to be zero, then fix the delay between pulses, then try to fix t2 so that it is zero as well.

After lunch we went back into the lab and noticed that the head of the vacuum system, where the source in/out needle is, was tilted at a angle. This is a problem because the pressure gauge for the source outlet is there, and needs to be parallel to the floor. Additionally, the fact that it moved causes concern because it could twist further. For this small fix, we had to break vacuum and since John just got an order of vacuum tubing we replaced one line we wanted to replace anyway. Once we brought it back to air, we tilted the portion that snagged, and replaced the vacuum tubing. Then we turned the pumps on and slowly brought the front and back parts to equilibrium, and after some problems with a different gauge reading, we realized everything was back to normal. At this point we stopped for the day because our next step is to work out the pulse timing. As I described before, the pulse timing with respect to each other and the phase modulator are all controlled by the same dials. To get a better picture of the pulse delays, we can also see the force exerted on the atoms but to get the source cold would take awhile so that is our task for tomorrow.


Wednesday, June 19th 2013

This morning we went into the electronics shop to look for the two potentiometers, and two resistors we needed to repair our broken pulse generator, and another grad students, Chris Corder, RF amplifier. After finding everything we needed except for a 5kΩ pot. We did have a 10kΩ pot and spent awhile trying to figure out if having double the resistance control would effect the voltage output to other parts in the circuit. We finally decided that it would be fine, since the pulse generators external input only needs a certain threshold of -1.5V to 1.5V for it to work. Then Seth and I began soldering the two pot's into our control panel, and the two resistors for Chris' RF amplifier. Once that was done we began the process of putting the pulse generator back together.

After lunch we finished up putting the pulse generator back together, with our fingers crossed hoped that it would work. We took out the old one on the rack and replaced it with the repaired device. When we first turned it on, we were not able to observe a signal. After some time of turning knobs, lets remember that this device is from the 80's and says MADE IN WEST GERMANY, we saw a pulse on the oscilloscope that very closely matched the signal coming from the other pulse generator. We had some difficulty triggering the scope but in the end we were very happy that this device is working and creates a signal that more closely matched the signal from the other pulse generator. We then put back together Chris' RF amplifier and turned it on. We connected the output to several attenuators, through a power meter, connected to a signal generator. The RF amplifier has a maximum gain of 35dB's and we measured a gain of 26 dB's which Chris was happy with because before the gain was 17dB's. We then let it run for 15 minutes and when nothing broke, we measured the output power to be 2.5W. Afterward we placed the RF amplifier in its rack and turned it on. It is used to light the Helium cell, which creates a plasma used in a saturation spectroscopy laser locking method. At the end of the day we repaired two electrical devices and the both worked! It was a very satisfying, and unusually successful day for experimental physics.


Tuesday, June 18th 2013

This morning John, Seth and I went into the lab with the goal of checking each laser system, measuring the power after each step, and cleaning the fiber tips because that has not been done in awhile. We started with one beam line and worked our way from the diode box, into a coupler that feeds to the side of the table where we do the beam shaping. At the coupler output we measured a power of 6.4mW. The fiber then mates with another fiber which is the input to the phase modulator. At the output we find we lost about 4db's of power where we measured about 2.5mW. That output fiber then mates with the input fiber for the amplitude modulator. At the output of the amplitude modulator we measured a low in power to about 22µW. We take a huge loss through the amplitude modulator because of its nature in how it chops the light. Because it works off the principles of an interferometer, we will always take losses in the line. At each step of the way we cleaned the fiber tips, and are able to observe the fiber through a fiber scope. Unfortunately, John has had problems with the fiber scope in that it will damage the ceramic of the fiber tip whenever we go to look at the fiber tip. This problem became evident again as the input fiber to the amplitude modulator became slightly off axis to the key. We only realized this after sometime because we went through each step of trying to debug this power loss issue, and John verified that it was an optical problem, compared to the electronics playing a role in the power loss. Before lunch we were able to mate it with the output from the phase modulator and surprisingly got a large amount of power coming through, about 2mW. After lunch we will check the other line.

After lunch we started by checking the other beam line, with regards to the power past each opto-electrical component and the cleanliness of each fibertip. Once we went through each stage and maximized the power input to the BOA (Booster Optical Amplifier). Afterward we turned to looking at the actual pulses and its spectrum. This is done by sending the light into a Fabry-Perot. The optimum spectrum of a pulse needed for ARP is one with a large carrier peak, with four side peaks. For one beam line we observed this spectrum on the scope, but for the other beam line we did not. We figured out that the pulse generator was the problem, by switching that beam lines pulse generator to the one that created the nice spectrum for the other line. When we did this we saw the spectrum we wanted. This means that one pulse generator is not doing what it is supposed to. Unfortunately we cannot use one pulse generator for both beam lines as it does not supply both beam lines with sufficient voltage, and therefore sufficient power to the fiber amplifiers at the other side of the table. We then took an extra pulse generator and went about repairing it because the external input dial was broken. This repair as it turned out, meant we needed to take the entire thing apart since the dial board sits in front of all the other electronics in the box. After much grief we finally were able to take everything apart but realized we needed two potentiometers, one for the dial broken originally, and one for a dial that broke when we took it apart. Tomorrow when we get the needed electrical components we will put the function generator back together and hopefully it works!


Monday, June 17th 2013

This morning, John wanted to run the experiment and see if we could observe any optical force on the atoms, and make sure everything worked as a whole, even if some aspects needed to be fine tuned. When we first turned on the laser systems we went to find resonance, in one line we were able to, but in the other we were not getting enough power to excite Helium atoms in one laser-locking scheme we have. When we investigated the power loss we found that somehow or other a fiber, in this line, broke. This fiber connects the phase modulator to the amplitude modulator and needed to be replaced. We could not simply replace the fiber because the fiber output from the phase modulator cannot be taken out. Luckily Dr. Tom Allison has a fiber splicer that can take two fibers, and splice them together through an electrical discharge. Unfortunately for us these do not match polarization maintaining fibers (PM fibers) meaning the machine does not align the fibers fast and slow axis' when it splices them together. The ability to do this almost doubles the cost of the machine. Regardless we have other means to control polarization in the fibers, and we went ahead and used the machine to splice the two fibers together.

After lunch we then tested this fiber connection and saw very little loss through the splice. We can observe this by using a photodetector, and knowing how much light is input, and also with an IR viewer which is a binocular like object that shows strong sources of IR light. After this we wanted to tackle the problem of arranging and organizing all the fibers that are on the optical bench. After trying several different methods we found these plastic caps (about 2 inches in diameter) and used a dremel to make a hole through them so that we could screw them into the optical bench. We then set about the task of rearranging both phase-to-amplitude modulator set ups for both beam lines in an organized fashion. All the extra fiber we then wound around these homemade spindles. This allows us to easily adjust the length of the fibers by unwinding them, but keeps them organized. The other problem we had in the past was that electrical tape would take off the plastic jacketing around the fibers, which then caused a mess and exposed the fibers. At the end of the day we were able to reconnect everything and get it back into working fashion. Hopefully tomorrow we can come in and observe some force's on the atoms.


Thursday, June 13th 2013

This morning, Dr. Metcalf gave the undergrad's in his group and those in the LTC a talk on entanglement. He first started by showing us the acceptance speech by Joe Eberly when he was awarded the Fredric Ives Medal by the OSA in 2010. His talk, shows how Bells Inequality (a theorem that is always true when dealing with classical objects) is violated when we enter the quantum regime. First he showed how Bells Inequalities work by using an example of counting the times a nickel, dime, and penny land on heads or tails. Then he went into a thought experiment utilizing the polarization of light to show that these inequalities are violated because we have entered the quantum regime. For his example a detected photon did not have either this polarization or that polarization (90˚ apart) but in fact a superposition of both possibilities. As a result when the math is worked out, the inequality is violated for any angle. The superposition of states is the heart of the entanglement phenomena which some argue is the heart of quantum mechanics.

After this Dr. Metcalf showed us another example of when the internal state of an atom and the polarization of light the atom sees are entangled. The example was a transition from n=1 l=1 to a n=2 l=1 where a left circularly polarized light hits the atom traveling right, and a right circularly polarized light hits the atom traveling to the left. In a steady state situation (after many excitations and decays) the electron is either in the n=1 ml=1 or the n=1 ml=-1, and in both cases they can only excite to the n=2 m=0 state. We define the left circularly polarized light to indicate a Δm=1 and right circularly polarized light to indicate a Δm=-1 transition, with both frequencies locked to resonance. If the electron is in the n=1 ml=-1 state then only left circularly polarized light can excite the electron, and the opposite is true for n=1 ml=1. The total momentum must be zero in the final stage, because it was zero in the initial state (the atom is at rest, and the photons have equal and opposite momentum). As a result we find that initial internal state of the atom and the polarization of the light field that excites the electron are entangled through the final direction of motion of the atom. In which case if we observe the final motion of the atom, then we know which light field excited the atom and therefore what the internal state of the atom was originally. For example say the atom gets kicked to the right, then the right circularly polarized light (traveling left) excited the electron and the electron was initially in the n=1 ml=1 state.

After lunch, I went into the lab with John and a new undergrad student here for the summer Seth Berl into the lab to put in a new pump for the vacuum chamber since we sent the old one out for repair. The goal was to make sure this new pump worked, and we could light the Helium atoms through an electrical discharge, which we use to create meta-stable Helium atoms, among other ions. Originally the pump was not pumping down to near vacuum that was needed, so once we made sure the gauge was ok, we took off the electrical shut off valve (use to prevent oil from entering the vacuum tubing if there is a power outage) because this was the source of the problem. We knew this because once we connected the pump into the vacuum system we saw that we were able to pump to the vacuum that we needed. After this we turned the source on, purged the Helium line (got rid of garbage gas left in the line since we have not run in two weeks), and once purged, we started sending Helium atoms into the vacuum chamber. After taking notes of the pressures from the source, beam backing, and source backing we then used liquid nitrogen (LN2) to cool the chamber because Helium has a room temperature velocity of ~2000m/s and the LN2 cools the atoms velocity to ~1000m/s. Once cooled we then turned on the electrical discharge and successfully saw that a plasma state was generated we were happy to note that the vacuum system is back up and running after being turned off for a week and a half.


Tuesday, June 11th 2013

Today we looked at most of the electronics that play a roll into creating, and shaping the pulses used in Adiabatic Rapid Passage. A signal generator feeds a phase modulator which establishes the timing of the pulses, which then feeds a signal to an amplitude modulator. It became evident to John recently that this amplitude modulator has a higher impedance then the signal generator, and phase modulator (both with resistances of 50 Ω) and as a result some of the signal is reflected back towards the signal generator. Because ARP heavily depends on the timing of the pulses, these second and other order reflections create pulses in the "off time" in between the two primary pulses when the atoms should encounter no radiation.

We spent the greater part of the day taking scope measurements of the signal as it travels in the forward direction through the phase modulator, and as well as the reverse direction. We also adjusted cable lengths to see what changes it would have on the reflected pulses. At the end of the day it became still difficult to try to understand which reflected pulse came from which incident pulse, and how we can account for this impedance mismatch. The impedance mismatch can be thought of as a light wave traveling through two different indexes of refraction. If we go form a high index of refraction to a low one, the better percentage of the light passes is transmitted. But in the reverse example, a light wave traveling from a low index of refraction and becomes incident on the surface of a higher index, has both reflected and transmitted light as a result. In our case, an electric signal going from a higher resistance to a lower one will be completely transmitted and if a signal travels from a region of lower resistance to a higher one, back reflections occur. At group meeting tomorrow we will discuss this circumstance and discuss how to handle this impedance mismatch.


Monday, June 10th 2013

Today is my first day back in Dr. Metcalfs lab for the summer. I will be mostly helping John Eglin with his experiment, ARP, but I will also be aiding the other graduate students Chris and Yuan whenever I can to learn about all the experiments going on here.

When I came in today John told me that one of the mechanical pumps used in his vacuum system had a unusual sound to it while running so the first thing we did was go and investigate that. When we turned the pump on we heard no such sound and everything seemed normal. Then we went ahead and turned on two other pumps that all contribute to creating vacuum in the system. About 45 seconds after we turned on a pump a huge burst of white light came out of the power strip that connected to this pump. As quickly as it appeared, it was gone again but residual lightly colored smoke came out of the pump. Upon further investigation we found that the power cord from the pump to the power strip was destroyed, and we also deemed the power strip unusable. We are not sure exactly what caused this problem it is probably due to a short circuit somewhere and it is possible that some oil residue on the power strip caught fire due to an arc from electric discharge.

As a result we had to replace the power cord for the pump so we set about stripping both the damaged and a new power cord. We were able to attach a new power cord to the pump that caused the burst. After lunch we came back and looked at each pump, and the original one that John thought was broken was not pumping properly. When we removed a vacuum tube, and brought a gauge to atmosphere we were able to determine that it was not a problem with the gauge but a problem with the pump. John and I then added some new oil, but that was not able to fix the ability of the pump to pump. At this moment we are planning to have it shipped out and fixed by a company on Long Island. I learned that these mechanical pumps have veins that are extremely sensitive so it is not possible for us to open it up ourselves and try to fix the problem, rather we need a specialist to take a look at it.


Tuesday, April 23rd 2013

Over the past several weeks I have been working on writing an abstract and a poster for this years Celebration of Undergraduate Research & Creativity (URECA). I chose to focus on STIRAP, the project I helped Yuan Sun on this summer. This celebration involves undergraduate research from many fields: biology, psychology, marine science, astronomy. Because of this I wanted to create a poster that those without a physics background could understand. So for the past few weeks, with the help of Dr. Metcalf, Dr. Cohen, and Yuan I was able to create a poster where all majors would be able to understand. At least they would get the jist of it. This poster and the associated abstract can be found in the posters and papers section. Fortunately now I will have the time to get back into the lab and start helping John out with his BiChro experiment. Additionally I will stay the summer here at SBU and continue to work with John.


Tuesday, April 2nd 2013

After working on the optical delay last week, John thinks the current delay between the pulses is correct. To determine this fully, we are now mapping the force as a function of the beams intensities. We can then compare these results to old data maps to see if the delay is correct or not. Today's procedure highlighted the big give a take of experimental physics. As we measured the beams spectrum, its shape would not stay consistent and when we had a nice beam shape the spectrum was asymmetrical. Additionally one of the laser beams kept jumping lock while we adjusted its intensity. I was only around with John for him to take half of the data points he needed but it proved to be another invaluable experience on learning how to run a large scale laser experiment.


Thursday, March 28th 2013

In the lab with John today, I learned and then proceeded to use the DC control to lock the SAS feedback using a PID controller. From there we then observed the radiative push both beams have on the atoms. From what we observed, the push from both beams is one-sided whereas we cant a push equally on both sides. As a result we need to work on the optical delay of the pulses, since the atoms are clearly seeing one beam before the other. To get the best idea we are moving the delay stages in increments so that we can observe the radiative push on atoms over a wide spread to get a clear idea. Once we were able to do that, John was able to compare to his calculated estimate of where the beams delay should be and compare the experimental results to the theoretical work.


Tuesday, March 12th 2013

When I came into the lab, John had just put in his new BOA and he was currently in the process of observing the characteristics of the beam as it passes through. We then worked on maximizing the output power of the beam as it comes out on the optics table where the vacuum chamber is. This was some more good practice of coupling light into a fiber and then maximizing the power. Then John went to explain the process of how he shapes the beam. This was a very interesting process and very in depth. The engineering behind amplitude and polarization modulators is a complex process that I will defiantly need to look into again.


Thursday, March 7th 2013

Today I learned how to solder. The purpose was to make a DB9 and DB15 cables that are used to connect the current and temperature controller to the BOA. This was a great and informative process on how to make the DB cables and also how to use a solder pen to attach the two. It was difficult on the first try but I was able to get the hang of it. In the end we were able to make both cables needed to connect the controller to the BOA. The specific connection ports was information John had from the last time he had to install a BOA back in November.


Tuesday, March 5th 2013

Today I worked with John helping him set up the fiber lines so that he can continue to run while awaiting an order of a Booster-Optical Amplifier, or BOA. We were able to find a current and temperature controller that is needed to control the settings on the new BOA. Right now we are using another fiber amplifier in place of the broken amplifier, but the worry about sudden power surges damaging the fibers and other modulators makes it necessary for John to purchase a BOA. This BOA has a certain aspect that wont allow back reflections, thus any power surges wont damage other electronics in the line.

We then wanted to maximize the output power of the retro delay line as we couple it into the fiber and send it over to another table. Because this part of the setup wont change, this maximization can be done while we wait for the new BOA to arrive, since putting the BOA wont change any aspects of this free line set up. Of course, as I have said, coupling laser light into a fiber is a process and I screwed up the alignment such that the intensity went down to zero, then had to walk the beam all the way back. At the end of the day we got ~50% power through the fiber which is a good base to spot, since most changes to maximize that will be minor.


Thursday, February 28th 2013

Today Chris was running his Bi-Chromatic force experiment and I was able to help him out. Today he was working on beam shaping the UV light before it reaches the vacuum system. The goal was to use a cats eye setup to maintain the beam shape as it is delayed. Additionally we needed to telescope the beam waist so that it is 6.6mm when it shines on a slit, which then images the slit. After this the beam then enters the vacuum chamber. A cats eye is simple a lens that focuses the beam onto a mirror (so the two are separated by the focal length of the lens). This reflected beam,as it passes back through the lens, has exactly the same characteristics as it did before it entered the cats eye set up.

When this was done we then measured the beam size using a beam profiler at different positions to make sure the beam did not diverge after this cats eye. The cats eye is used because Chris wants to have the two beams that reach the atoms to be delayed by a certain time in order to achieve a desired force on the atoms. After the cats eye, the beam gets reflected, after traveling some distance, onto a telescope.

After we took our beam measurements we found we needed to magnify the beam by -2.34x to achieve the desired 6.6mm size at the slit. -2.34x is a difficult ratio to obtain using standard focal length mirrors. Knowing that the beam will only diverge if we place the telescope further away then we originally intended, we then did some calculations to place the telescope at a point where we would need to magnify the beam by -2.5x. The negative sign indicates we are going to reduce the size of the beam, that is all. From the calculations we need a beam of waist size of 16.50mm, which we could then de-magnify it to the desired 6.6mm. Unfortunately at this point I had to leave for class but I intend to check back with Chris and hopefully work on BiChro again. At this point I have been slightly introduced to all three experiments under Dr. Metcalf and it is very interesting to understand the placement of all the electronics and optics in the lab and know which goes with which experiment.


Wednesday, February 27th 2013

Last summer I spent a couple weeks trying to couple light into a fiber. As anyone who has done this knows it is not the easiest thing, and is a procedure that requires practice. The conclusion of my summers attempts were that I was using a diode laser which outputs a elliptical beam, a shape that is difficult to couple into a fiber. It is possible, but one needs to use optical components to change the beam shape towards a circular shape. A Gaussian beam on the other hand is ideal to use because its cross section maintains the same shape as it propagates, even as it diverges.

I went into the Laser Teaching Center (LTC) Wednesday night to do just this. Myself and three other optics students had a quick review of Gaussian Optics with Dr. Noe. We then went into another room and used a HeNe beam, two mirrors, and a fiber coupler port to do just that. The difficulty of doing this procedure become evident pretty quickly. We started with the fiber positioned in the port but not all the way locked it. We then maximized the output light and slowly moved the fiber into its locking position in the port. When I was doing it I quickly screwed it up and had to work my way back, thus is the difficutly of coupling laser light into a fiber. The process involves scanning one horizontal knob, while the other is fixed, maximizing the output, then move the fixed knob a small step and repeat. Once you maximize a small step in the horizontal direction, then you need to go to the vertical direction. The process is very similar to "walking the beam" as I have described in this journal last summer. Unfortunately I could not stay long enough to successfully couple all the light into the fiber (the goal is to maximize the output power). I plan on going back and doing this several times over the semester.


Tuesday, February 26th 2013

Today in the lab I helped John work on the alignments behind his pulse timing. For ARP there are two pulses separated by 350ns that interact with the atoms. This was the first time I was introduced to this concept, and the optics behind it. The process is actually really involved and interesting. Knowing the pulse separation that is desired we can then change the distance the beam travels before it reaches the atoms. This can be done by adding/subtracting length to an electrical wire that comes from a pulse generator (this is how John creates his pulses) or by changing the physical distance the beam travels through the optics. We were able to measure both pulses as they pass through the vacuum system with a power meter connected to an oscilloscope. Using the scope we could then get a timing between the two pulses as we blocked one beam, recording the peak of one line, then blocking that line and recording the position of the other peak from the other beam line. From this we were able to then decide how we had to change the optical paths in relation to achieving the needed spacing between pulses. At the end of the day John said he got this to around where he wanted to be but we truly will not know until we are able to map the force on the atoms.


Thursday, February 21st 2013

Today I learned that one of John's fiber amplifiers has broke, as he increases the current the power of the laser does not increase. To give some background, this happened to his other fiber amplifier only months ago. Ever since then he has been in a huge state of repair, reassessing all aspects of the experiment. Only recently has he been able to get it up and running, with preliminary runs testing the beams properties and small interactions with atoms. This equipment breakdown is another set back.

Due to this equipment breakdown, we were obviously not able to run today. Instead John told me that Chris (lead experimenter on the Bi-Chromatic Force experiment) had found a box of optical components in one of the back rooms. These various lens', windows and filters needed to be labeled and sorted. It took me about two hours but it was interesting and useful is being able to quickly assess an optical component. It most instances I had to note the focal length, diameter or dimensions of the object, and then file it in the rightful place.


Thursday, February 14th

Today when I walked in John told me his beams are not as collimated as we thought they were, and as well as they should be. Thus, we spent the day collimating one beam line. Yesterday at group meeting Dr. Cohen suggested we use a technique of reflecting the beam off a thick mirror. This gives us two reflections (one off the front face and another off the back face). Theses two reflections create an interference pattern (since the two reflections travel two different distances). In such a case that the beam is collimated correctly we should see horizontal or vertical fringes. My guess is that the two are dependent on the polarization direction of the light.

To get a better understanding of the beams behavior we repeated the procedure done on February 7th, that is using a 100 micron slit, in front of a photo detector, to get an accurate reading of the beam profile at several distances away from the telescope. We took measurements at four different distances from the telescope in the beam path, prior to it reaching the vacuum system. The goal was to get a better understanding of the beams Rayleigh length, defined as zR = πwo2/λ where wo is the beam waist. The Rayleigh length is defined as the distance from the beam waist where the area of the cross section of the beam is doubled.

At this point before analyzing the data, we called Dr. Cohen into the lab to get a second opinion. It seems as if the telescope set up needs to be fine-tuned in order to successfully collimate the beam.


Tuesday, February 12th

Today I helped John set up the optics for ARP again. I learned about the procedure to turn on and off the vacuum systems as well as the electronics associated with the laser, the laser lock, and the electrical components in the vacuum. I saw how to lock the laser frequency, a process which I will truly understand after a couple of times seeing it done. Before this, I learned how to purge the vacuum system. This is done three times to effectively drain the system. To do this you turn the helium tank a quarter turn, after which we open the bypass valve so the Helium flows straight in and out. Pressure at this point spikes then falls back down, once it is down we repeat this process two more times. This is done so when we run, no other forms of matter enter the vacuum system which result is a build up of "dirt" as a result of hitting the arc discharge of 2200V. Additionaly, the pressure in several parts of the vacuum and pumps needs to be taken as well as the temperature and humidity of the room. This is done as a daily log so if something does go wrong, one can trace it back to a certain day.

Afterward, we ran the helium through the system. The experiment has not been run in a awhile so our goal was to observe basic radiative push on the atomic beam. After we saw some simple pushes on the atom we turned off the helium pumps and aligned the lasers so that they counter propagate successfully. Prior to this we used the CCD camera on the phosphorus screen to align one beam such that it hits the center of the atomic beam, giving us the largest push on the atoms. At this associated height we were then able to align the two beams.


Thursday, February 7th

At the beginning of the week, Dr. Metcalf gave me a chapter from his book on Atomic Physics. The chapter is titled "Interaction of Two-Level Atoms and Light". It highlights the Quantum Mechanical view of driven optical transitions as well as introducing the Rotating Wave Approximation. The Quantum Mechanics is slightly above my level of understanding but I can understand the physical concepts. Today I had a chance to sit down with Dr. Metcalf and he explained the basics of understanding two-level interactions from the quantum mechanical perspective. It was extremely helpful and informative. I learned how to write the coupled wave function, then how to normalize and orthognolize it. This is done by exchanging the time dependent coefficients for sines and cosines, that have a time dependence. Then by choosing the sines correctly, they become orthogonal. He concluded by teaching me that both the time dependent probability coefficient and the Bloch Sphere are identical ways to view atomic transitions.

After I talked with Dr. Metcalf, I went into the lab with John. His goal for the day was to get an accurate description of both beams divergence after they pass through a telescope, right before they hit the vacuum chamber. We need to make sure the beam does not diverge, and also mapping its intensity will give us an accurate description of the beam. We used a 100µm slit on a photocell. The beam size is approx 6mm so this gives approx. a 1/60 resolution ratio. The photocell's stand is on a micrometer which we use to move the slit across the transverse direction of the beam. This gives us the intensity profile and is a much better method then cutting into the slit with a razer blade.

We did this process at three different distances from them the telescope, giving us a mapping of the divergence. At each location the data showed us a very nice Gaussian profile. At a quick glance, each waist looked very similiar in size. We repeated the same procedure for the other beam line and saw the same results, with very similiar size waists at first glance. John was going to fit a Guassian curve to it and accurately see the error and divergence over the three distances.

Each time we needed to move the photocell we then needed to realign it to the center of the beam. To do this we set the micrometer to its center point (5/10's of 1 inch) then moved it in all three directions until the photocell read out a maximum value. This was good practice is aligning and moving optical components.


Tuesday, February 5th 2013

Today was my first day back in the lab since last summer and it felt really good to be back. I entered and John (who is currently working his Adiabatic Rapid Passage experiment) was setting up both his laser beam lines. Both these lines are free running lines after they exit a fiber, prior to the free running the beams get frequency and amplitude modulated. Because of the severe set backs and new equipment John faced he needed to reposition this free running beam, the original line had been set up very accurately and has not needed change since then. In ARP, two laser beams are overlapped to interact with atoms.

The establish the first beam path we used two lenses to collimate the beam then we used a wave profiler to measure the beams divergence from a lens close to the fiber output and to optics approx. 1m away. Two lenses are used to collimate the Gaussian beam and to telescope the beams waist to a desired size. We had the second lens on a micrometer mount and adjusted it over a range of 5cm in both the close and far position. We then used a beam profiler to measure the beam waist close and far from this lens to determine which position of the second lens gave us the least divergence. Eventually we found an optimal position of the micrometer which gave us a divergence (expansion of the beams waist (point at which 1/e^2, or 13.5%, of the power is) from one point to another) of approximately 2x10^5m over a 1m distance. We were very satisfied with this.

We then moved onto the next line and took the wave profiler to measure the beams waist at distanced of ~10cm from a mirror whose face is 45˚ incident to the beam after a fiber output. We saw that the beam does not diverge much on its own, but we need the increase the beams size to match that of the other line. We used a method to reverse method the waist of the Gaussian Beam after it passes through a lens. As John approximated we found we needed a lens of focal length ~500mm to effectively telescope the beam such that is waist now matches the beam on the other line, as well as collimating it (effectively both edges of the beam are parallel).

Before I left we installed two iris' on both lines approx. 1m apart. These iris' serve two points. 1)Allows use a reference alignment for later instillation of optical components 2) We can close the iris' all the way and then align both beams (now very small size) together so both beams centers are aligned. Afterward we just open up the iris' and we have two perfectly aligned beams with centers on top of each other, as is needed for ARP.