Optics Rotation Project of Douglas Bennett
Advisor:  Dr. Metcalf and Dr. Noe
Title: Coherent Backscattering
Rotation Update
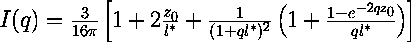
In the backscattering direction the waves are coherent so we sum then square but if they are incoherent than we square then add. This gives an enhancement factor of two. The intensity profile can be derived within a diffusion approximation. [2]
The dominating feature in this profile is the cone term.
The experimental setup is shown in the figure above. The laser is a 10 mW Helium Neon laser. The Sauliner paper suggests expanding the beam to reduce divergence but I did not get around to using any lens. The divergence of the beam can cause uncertainty in the direction of the incident beam. A cube beam splitter was used to split the beam. The beam splitter was not anti-reflection coated causing some problems that will be explained later. One beam is dumped and the other directed towards the sample. Between the sample and the beam splitter is a quarter-wave plate. The beam goes through the quarter-wave plate reflects off the sample goes back through the quarter-wave plate and back through the beam splitter. After going through the beam splitter a second time, the beam is passed through a polarizer to the detector. The detector consists of a band pass filter followed by a pinhole in front of a photo-multiplier tube (PMT) which is mounted on a translation stage. The pass band of the filter is set for the wave length of the HeNe. The pinhole has a diameter of 400 micrometers and is 1.18 meters from the sample resulting in a resolution of approximately 0.6 mrad. This should be enough to resolve a peak. The PMT is a Hamamatsu HC120 with a spectral range of 185 to 900 nm. The responsivity is shown below.
This is taken from the Hamamatsu HC120 technical data sheets.
The light is initially vertically polarized. When it goes through the quarter-plate it becomes right circularly polarized and hits the sample. The light that scatters once is converted to left circularly polarized light so that nodality is maintained. When this light goes back through the quarter-wave it becomes horizantly polarized and is eventually blocked by the polarizer in front of the detector. Light that is scattered multiple times has a component that is right circularly polarized which is converted to vertical polarization by the quarter-wave plate and is passed by the polarizer. This allows the detection of the backscattered light that have time reversed paths while stopping the single scattering events which do not have time reversed paths and would wash out the signal from the coherent backscattering.
Originally I tried to use a polarization sensitive beam splitter because I thought this would waste less light and we had one that was anti-reflection coated for a HeNe wavelength. However this thinking is flawed! If the BS is oriented so that it reflects mostly vertically polarized light and transmits mostly horizantly polarized light than the following happens. Most of the light is reflected towards the sample. Then the desirable light comes back from the quarter-wave plate vertically polarized. When it hits the beam splitter it gets reflected back towards the laser instead transmitted towards the sample. Than most of the signal is lost. So I was forced to use a the BS that was not polarization sensitive but was also not anti-reflection coated. The result was multiple reflections on top of or close to the signal. Even when both the beams were dumped there was still a visible reflection in the direction of the detector.
In order to try to separate these reflections from the signal I was forced to misalign the setup slightly (rotate the crystal). Here is a picture where the cell was replaced with a mirror in order to reflect the light back so that it was visible to the human eye. The mirror was aligned so that the reflected beam would follow the path of the CBS signal.
Here is another image with the crystal rotated a little more.
You can see the reflections moving away from the signal. Further down the table the reflections separated more and we attempted to block them. I am not sure what effect this misalignment had on the data. But I would assume the more the beam diverged the larger the effect of the misalignment.
To get rid of some of the reflections I played with the beam dump and tried re-orienting the beam splitter to separate reflections from the signal. I could not get a signal much better than the one seen in the graph below.
The gain of the PMT was set to maximize signal to noise ratio but I could not do much better than this. In order to have a little less noise to work with I averaged some data.
I could not blame any of these three peaks on reflections. They still could be from a reflection I could not isolate such as from the beam splitter itself but the reflections that I saw tended to be narrow. The peaks might be the same peak reflected off the faces of the beam splitter and since the beam splitter is tilted the different reflections are separated. Anyway they all look like they might be Lorentzian but could just as easily be Gaussian. I will look at the big one first.
Right from the start we see the peak does not get to two but neither did Corey, Kissner and Saulnier. There peak also had an enhancement of approximatly 1.6 but they had a much higher signal to noise ratio and a very nice cone shape. My peak is not exactly cone sahped but it is not very Gaussian either. The very tip looks a cone but the bottom looks Gaussian
The situation is worse for the next highest peak shown above.
[2] P. Wolf, G. Maret, E. Akkermans, and R. Maynard, "Optical Coherent Backscattering by Random Media: an Experimental Study," J. Phys. Fr. 49, 63-76 (1988).
Ming Lu's CBS Page
Advice For Those Who Come After
Introduction
Coherent backscattering (CBS) of light is an effect that describes the appearance of an intensity cone when photons traveling in a time reversed path self-interferes constructively in the backscattered direction. In an experiment described by R. Corey, M. Kissner and P. Sauliner in the June 1995 issue of American Journal of Physics[1], laser light is scattered off a colloidal suspension and the intensity of the reflected light is measured as a function of angle. Much of the interest in coherent backscattering has been related to the link between phase coherent time reversed paths and photon localization. This is why coherent backscattering is sometimes called weak photon localization.
Theory
Since colloidal suspension is undergoing Brownian motion a scattered photon would follow some random path within the solution. The wave properties of the light make it possible for the photons to interfere with its own time-reversed path causing the backscattered peak. A typical path is shown in Figure 1. The phase difference is related to the path length difference between the paths. For light scattered in the backwards direction the path length difference is zero and therefore the phase difference between the paths is zero. At zero phase difference the light interferes constructively resulting in an intensity cone in the backwards direction. There is a critical angle above which the condition of phase coherence is not satisfied. This angle is approximated using a diffusive model of photon transport in a colloidal medium (see Corey, Kissner and Saulnier)[1].


Experimental Setup




Results
This is an example of a typical horizontal scan over a range of around 30 mrad. There are all kinds of reflections in the scan.
Conclusions
We need to reduce the signal to noise. I think an anti-reflection coated beam splitter would improve this greatly. A coated quarter-wave plate and a better linear polarizer would not hurt either. It would also be nice if we could count photons instead of measure the current at the output of the PMT amplifier package. Finally a system of computer control where the computer could move the detector count photons for a while or average voltage reading then move on to the next point should help decrease the uncertainty due to fluctuations in the signal.
References
[1] R. Corey, M. Kissner, and P. Saulnier, "Coherent backscattering of light" Am. J. Phys. 63, 561-564 (June 1995).
Douglas Bennett
Douglas.Bennett@sunysb.edu