Research Journal



Monday, 29 April 2013

At this point, I have collected all of the experimental data for my project and will mainly be working on analyzing my results and writing my report. Although the original concept of converting the photodetector to a photometer did not necessarily go according to plan, Dr. Noé and I were able to gain an appreciation for photometry, as well as some meaningful qualitative data which (within reason) agrees with the theoretical power ratings for the light bulbs.

Friday, 26 April 2013

Testing Light Bulbs

Today, Dr. Noé and I took readings for the voltage generated by the light emitted from three different bulbs. A 100,000 Ohm resistor was placed across the photodetector, which was held 1 m away (horizontally) from each light source. We also placed a medium green filter in front of the photodetector for half of the measurements in an attempt to imitate the spectral response of the human eye. The results we obtained are recorded in the table below.

After taking these measurements, we surrounded the photodetector with black paper to check for error caused by reflections off of the walls in the lab. We also repeated the measurements with a light bulb hanging from a tripod to ensure that the shadow of the person holding the bulb did not affect our results. In both cases, no significant difference between the new measurements and the old ones was found.

Luminous Efficacy

Luminous efficacy is defined as the ratio of the luminous flux emitted by a light source to the power input of the source. It is expressed in lumens per Watt. The average luminous efficacies of a 40 W and 100 W incandescent bulb are 12.6 lm/W and 17.5 lm/W, respectively. Those of the light bulbs I used in my experiment were theoretically 14.5 lm/W, 16.3 lm/W, and 14.0 lm/W, which is in good agreement with these values.


Monday, 22 April 2013

Mathematical Modeling

Today, Dr. Noé and I discussed the possibility of creating a mathematical model for the sensitivity functions of both the photodetector in the lab and a green filter which will be placed in front of it. I will choose to model the filter whose sensitivity curve appears to most closely resemble that of the human eye, particularly in terms of where it peaks. Then, next class, I will take measurements of the intensity of light given off by multiple light bulbs with known power ratings in both photometric and radiometric units and compare them to the predicted values given by the equations I used to model each curve. These equations should be formed so that, when convolved, they give the sensitivity function of the human eye.


Friday, 19 April 2013

Convolution

Convolution is a mathematical operation that produces a new function which gives the area overlap between the two original functions as a function of the amount that one of these functions is translated with respect to the other. Intuitively, convolving simply involves combining the graphs of two functions. It can also be described as a weighted average of the first function, f(x), at a particular value of t, where the second function, g(x), gives the weighting as g(-x). The weighting function emphasizes different portions of the first function's curve at different values of t. The formal mathematical definition of convolution is given below, where t is the independent variable, f(x) is the first original function being considered, g(x) is the second original function, and (f*g)(t) is the convolved version of f(x) and g(x).

Source

Primitive Photometry Measurement Techniques

Prior to the development of sophisticated electronic instruments, photometry was simply done using a radiometer and visual estimation. The luminous flux (perceived power of light) of the source in question was compared to that of a standard source. The radiometer was placed at a distance from the source being measured which made the illuminance of this source and the standard one appear equal to the human eye. The relative luminous fluxes of the sources could then be calculated since the illuminance of light decreases proportionally to the inverse square of the distance between the observer and the light source. This would then allow a person to determine the luminous flux of the non-standard source as long as that of the standard source was known. A crude "photometer" could also be made using a piece of paper with an oil spot on it. Once this spot is not visible from the other side, the illuminance on each side of the paper is approximately equal.

Source


Friday, 12 April 2013

Reflecting a Laser Beam off of Spectralon

Today, Rachel and I measured the intensity of a laser beam that was reflected off of a square of Spectralon, a highly diffuse reflector that approximates a perfectly Lambertian surface. These measurements were taken at different vertical heights directly above the Spectralon using a photodetector. We also took similar readings using a paper towel and a shiny foam board in place of the Spectralon for comparison. Even before taking those measurements, though, we observed that the light reflected off of the floor and onto a whiteboard seemed to be significantly more concentrated in some areas than others. The light reflected off of the Spectralon, meanwhile, seemed to be more evenly distributed throughout the area it occupied. Furthermore, the light reflected off of the Spectralon seemed to have the same intensity and distribution regardless of whether the whiteboard used to observe it was placed in line with the laser beam and the Spectralon or approximately 90 degrees to the side of the Spectralon square. To take our measurements, we clipped a photodetector to a meter stick that was placed on a table top, but hung off of it slightly. This was done so that we could easily adjust and maintain the vertical height of the photodetector above the material that the laser beam was being reflected off of. The readings that we obtained for each material at 20, 30, and 50 cm away can be seen in the table below.

We also determined the angle between the laser beam and the floor by measuring the vertical height of the laser above the floor and the distance from the source to the floor along the path of the laser beam. After these measurements were taken, simple trigonometry was used to calculate this angle, which we found to be 11.87 degrees (see diagram below).

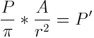
We also used the following equation to determine the theoretical observed power of the reflected laser beam at a specific height above the ground. Here, P represents the known power of the laser (30 mW), A = the effective area of the photodetector (1.296*10-5m), r = the vertical height of the photodetector above the reflector, and P' = the predicted observed power of the reflected laser beam. Using this equation, we found the predicted power to be 3.0940*10-3 mW, 1.3751*10-3 mW, and 4.9504*10-3 mW at 20, 30, and 50 cm away, respectively.

Spectralon

Spectralon is a material which has "the highest diffuse reflectance of any known material or coating over the ultraviolet, visible, and near-infrared regions of the spectrum." For wavelengths between 257 nm and 10600 nm, Spectralon is highly Lambertian, meaning its surface reflects incident light at many different angles rather than just one, as a mirror-like surface would. In other words, the luminance (luminous intensity per unit area) is equal in all directions within the hemisphere above the surface.

Source


Monday, 8 April 2013

Convolution of Sensitivity Curves

Today we discussed the possibility of obtaining a photometric measurement from a radiometer by applying the mathematical concept of convolution, which refers to the process of combining two functions, often by multiplying in some way, in order to create a third function which represents the overlap between the original two. In the case of converting a radiometer to a photometer, this would mean combining the sensitivity curves of the photodetector (radiometer) and a filter which would be placed in front of the photodetector in order to obtain the sensitivity curve of the human eye. This must be done in order to account for the fact that the photometer's sensitivity function peaks at wavelengths of approximately 920 nm, while that of the human eye peaks around 555 nm. The sensitivity curve for a medium green filter in Dr. Noé's lab can be found below.

Etymology of "Photometry" and "Radiometry"

Since I am very interested in foreign languages and the origins of words, Dr. Noé suggested that I look up the etymology of the words "photometry" and "radiometry," especially since the crucial difference between them is not necessarily apparent just from looking at the words. The first known use of the word "photometry" was in 1824. It comes from the Greek words phos/photos and metron, meaning "light" and "measure," respectively. "Radiometry," meanwhile, was first used in 1877 and is derived from the French prefix "radio-" and the Latin word "radius," as well as the Greek "metron." "Radio-" refers to radiant energy, while "radius" indicates a ray. Based simply on the roots of the words, the distinction betwen photometry and radiometry is very subtle. However, some people define "light" ("photos") as radiation to which the organs of sight react. Radiant energy, on the other hand, refers universally and more generally to that which is propagated by radiation. Something which is "radiant" is simply an object from which rays proceed. Perhaps, then, those who coined the term "photometry" had this less conventional definition of "light" in mind, and used it to express the idea that photometric measurements depend on the response of the human eye to the wavelength of the radiation involved.

Sources for Photometry: {1} {2}

Sources for Radiometry: {1} {2}


Friday, 5 April 2013

Converting Between Photometric and Radiometric Units

Below is a table of photometric quantities and units and their corresponding radiometric quantities and units.

The first formula below can be used to convert a specific radiometric quantity to its photometric equivalent. In this formula, Xp refers to the photometric quantity in question, Xr(λ) refers to the radiometric quantity, V(λ) refers to the sensitivity function of the eye, chosen depending on the relevant light level, and K is a constant chosen so that one Watt corresponds to 683 lumens at 555 nanometers for day vision and 1700 lumens at 507 nm for night vision (in other words, K is 683 for photopic vision and 1700 for scotopic vision). The second and third equations below indicate the human sensitivity functions for day and night vision, respectively.

Although the limits of integration in the equation above should theoretically be zero and infinity, it is acceptable to integrate from 360 to 760 nm (over the range of the visible light spectrum) in practice. One important difference between photometric and radiometric quantities, however, is that photometric quantities can only be meaningfully applied to sources of visible light.

Project Concept: Analyzing Photometry and Radiometry

This project will seek to unravel the complicated system of units behind photometry and radiometry. First, some three-dimensional concepts that apply to both systems of measurement will be introduced. Then, both photometry and radiometry will be discussed individually in greater detail. The corresponding quantities in both systems will be examined, and the procedure for converting between the two types of units will be explained. Furthermore, the human spectral response curve, which is crucial to photometry, will be elucidated.


Monday, 1 April 2013

Photometry and Radiometry

Photometry refers to the measurement of the intensity of electromagnetic radiation in units such as lux and lumens which use the standard response curve for the human eye. In contrast, radiometry is the process of measuring the intensity of such radiation in absolute units, which include Watts per square meter and photons per steradian per second. However, there are several important concepts and units which are common to both types of measurement.

The solid angle, for instance, is basically the equivalent of a plane angle in three-dimensional space. More formally, it is the two-dimensional angle in three-dimensional space that at object subtends at a point of observance. A full sphere has a solid angle of 4 pi steradians. Another unit of solid angle, the square degree, refers to the length of one side of an imaginary square placed on the surface of a sphere. The radius of such a sphere would then be 180/pi degrees. One steradian is equal to (180/pi)^2 square degrees.

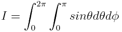
With regard to light, intensity, sometimes referred to as specific intensity or radiance, is defined as the flux of radiation in a given direction across a unit surface that runs perpendicular to that direction per unit time and per solid angle. Here, flux refers to the power of light, and is given by the equation below. In this formula, I refers to the intensity of the light, θ is the angle between the given direction and the normal, and dw represents an infinitesimal change in solid angle.

For isotropic radiation, intensity is independent of direction, and the flux can be given by:

Emittance and irradiance refer to the flux of radiation emitted from and incident on a unit surface, respectively. Both take into consideration the entire hemisphere covering the face of the unit surface, and can be described by the following equation.

As stated earlier, photometric units are based on the assumption that the meter being used to detect the radiation in question has the same spectral response as the human eye in daylight conditions. The lumen is the SI unit of photometry, and is defined as the flux of one candela into one steradian. One Watt of monochromatic radiation with a wavelength of 5550 Angstroms is defined as having a flux of 680 lumens. This definition applies only to daylight vision. There is also a less commonly used unit called the scotopic lumen which applies to night vision. One Watt of 5100-Angstrom radiation has a flux of 1720 scotopic lumens.

One candela, then, is defined in modern times as one lumen per steradian, and describes the "instrinsic brightness" seen from a particular direction. One previously used definition of candela was 1/60 of the luminous intensity of one projected square centimeter of black body radiation at 2044K (the temperature at which plantinum begins to melt). As its name suggests, the candela was originally based on the total luminous intensity given off by one candle. This definition still holds today, but it now refers to a standardized candle, and can only be used as an approximation for any given candle.

Lambert's Law

A Lambertian emitter is a light source which has a surface brightness that is independent of the direction it is considered from. In this case, surface brightness can be expressed in candelas per projected square meter, where a projected square meter refers to one perpendicular to the direction which the light source is being viewed from. The intrinsic brightness of a flat light source which obeys Lambert's Law, in candelas, is given by the equation below, where: IB = intrinsic brightness from any direction less than 90 degrees from the normal to the surface (in any direction within the hemisphere "covering" it), PIB = perpendicular intrinsic brightness (intrinsic brightness seen from a direction normal to the surface), and θ =the angle between the direction of view and the normal to the surface. Although this formula is based on a perfect diffusor, it gives a good approximation of the brightness of many surfaces.

The flux from a flat Lambertian emitter which has a perpendicular intrinsic brightness of 1 candela for the entire half-sphere is π lumen. Half of a perfect spherical diffusor which is illuminated by a single point source at an infinite distance away will have a brightness that is exactly π times smaller than the full sphere under the same conditions. Once again, this idea seems highly theoretical, but can serve as a reasonable approximation in many real-life scenarios.

Source


Monday, 25 March 2013

Managing Our Websites

We spent the beginning of today's class talking about how to manage our websites. To access our journals, we must first change to the journal directory, then type "pico index.html". The file index.html in the journal directory is not the same as index.html in the public directory. The index in the public directory refers to the introduction page on our websites, while the other index refers to our journal files. Furthermore, "mv-i" will warn us if we are about to overwrite a file while moving another one.

We continued by discussing more ideas for our individual projects. Mine may involve passing the infrared signal coming out of a remote control through a diffraction grating, as described in this article. I would then use the value for the spacing between the grating, the distance to a camera used to record the diffraction patterns, and the diffraction order to determine the wavelength of the infrared light.

Candela

The candela is the SI base unit of luminous intensity. It can also be described as the power emitted by a light source in a particular direction ,weighted according to a standardized model of the sensitivity of the human eye to different wavelengths. A standardized candle emits light with a luminous intensity of approximately one candela. Theoretically, if the light emissions were blocked in some directions by an opaque barrier, the light emitted would still have an intensity of one candela in the directions that were not obscured. More precisely, the candela is defined as the luminous intensity in a given direction of a source that emits monochromatic radiation with a frequency of 5.40*10^14 Hz and a radiant intensity of 1/683 Watts per steradian in that direction.


Friday, 22 March 2013

Abstracts, Electronics, and More Project Ideas

We began today's class by discussing the format of scientific abstracts. The first paragraph in the introduction should be a general statement about the importance of the topic at hand, while the second paragraph should make a transition to discussing specific details about the project. A possible third paragraph would then discuss future prospects and ideas for further research.

We were then visited by Muse Numsin, a junior and computer science major involved in the Women in Computer Science Club. Muse has an internship on Stony Brook's South Campus and studies the electronic devices that float in the ocean and send back data readings about the water. The devices that she works with contain arduinos, which are computer chips that work directly with hardware. Muse is also looking to take a field trip to the Google headquarters in New York at some point in the near future in order to increase her knowledge of computer science.

Towards the end of class, I used Dr. Noé's night vision device to view the infrared signal coming out of a remote control. Although such a signal would normally be invisible to the human eye, it became visible when viewed through the night vision scope since the device captures and amplifies both infrared and visible light. To me, the brightness of the infrared signal compared to the rest of the night vision image resembled that of a laser beam when compared to the average brightness of the light in the lab (given off by the overhead lights). After this little experiment, we established that possible projects for me could consist of doing a spectroscopy of the infrared light coming out of the remote, an analysis of the angular distribution of this light, or a calculation of the frequency of the wave form.

Spectroscopy

Spectroscopy refers to the measurement of radiation intensity as a function of wavelength. In other words, it describes the interaction between matter and radiated energy. Spectroscopy originated from the study of visible light that was dispersed according to its wavelength (for example, by a prism). Data obtained from a spectroscopy is often represented by a spectrum, meaning a plot is made of the interaction in question as a function of wavelength (or frequency). The different types of spectroscopy are distinguished by the type of radiative energy they involve. Electromagnetic radiation spectroscopy, for instance, concerns microwave, infrared, visible, ultraviolet, x-ray, and gamma radiation. Different spectroscopies can also be named according to the nature of the interaction between the energy and the material involved (absorption, emission, reflection, etc.)


Monday, 4 March 2013

Night Vision Devices, Oscilloscopes, and Microphones

Today, I got to take a look at a "Moonlight" night vision device that Dr. Noé managed to find in the lab. This was a piece of active illumination/image enhancement technology, meaning it both amplifies the light from natural sources such as the stars and moon and adds its own infrared source of light. The device also had three adjustable parts, two which seemed to affect the lenses and the other which operated on the infrared light source. Unfortunately, it had a low battery, so we could not get the infrared light to turn on, but hopefully that will change soon. We may have to take the device apart to correct the problem, but that may help us to better understand how it works anyway. With luck, I may be able to design a project which analyzes this device and its optical functions.

Next, we connected a microphone to an oscilloscope and struck a tuning fork next to the microphone in order to record sound wave patterns. We experimentally determined the period of the sound waves generated by the tuning fork to be approximately 4 seconds based on the oscilloscope display. This would give a frequency of 250 Hz, and the actual frequency of the tuning fork was given as 256 Hz, so this was a reasonably accurate estimate. We observed that higher energy (higher amplitude) waves lose energy faster, while lower energy waves take longer to dissipate. We also learned that a fundamental frequency and its overtones can be added together to create "divots" in what would otherwise be a perfect sine wave pattern. (A "pure" note with no divots would generate a sine wave.) Rachel and Angela whistled two different notes into the microphone at the same time and we took pictures of the interference patterns that were recorded on the oscilloscope.

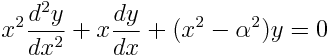
Towards the end of class, we spoke quickly about Bessel functions, which can be used to describe the pattern of rings generated by a laser beam when it is shined through a pinhole. These functions are solutions to the differential equation below. Such functions can also be used to describe the modes of vibration of a thin circular membrane, such as a drum head.

Night Vision Images

Images created by night vision technology have a characteristic green tint. After experimenting with several different colors, device makers found that the different shades that make up a monochrome image could be most accurately distinguished when they were green. The human eye is most sensitive to light which has a wavelength of approximately 555 nanometers, which corresponds to the color green in the visible light spectrum. Making the display green means that it can be dimmer and still be clearly perceived, which allows the device to conserve battery power.

In general, phosphors (which make night vision images green) are substances that exhibit luminescence (the emission of light resulting from something other than heat) when exposed to radiation such as ultraviolet light or an electron beam. Each phosphor has a characteristic color of emission and period of time for which light continues to be emitted even after its atoms' electrons are no longer being excited by one of the aforementioned methods.


Monday, 25 February 2013

Polarized Laser Beams and Filtered Light Intensity

Today we were visited by graduate student Yuning, who described her research in physics as a chemistry major. She is building an autocorrelator to measure the duration of picosecond laser light pulses. The device includes a beam splitter, mirrors to reflect the laser beam, and a crystal to shine the laser light at. Yuning told us that the crystal she used is usually linearly polarized, but became non-linearly polarized with the laser beam. This polarization depends on the second-order term of the equation that describes the beam of light. The powers in such an equation are those of the electric field, and any power other than one represents a non-linear polarization. Furthermore, the intensity of the input light beam cannot be too high, otherwise the first-order term will dominate and the second-order one will be indistinguishable.

After Yuning's presentation, we discussed a few more general facts about lasers. For instance, laser beams with a Gaussian shape maintain that shape at all times. Lenses can make it larger or smaller, but will not change the shape itself. Also, a green laser beam starts out as infrared light, but a crystal inside the pointer charges its frequency and wavelength to make it visible light.

Next, we learned about black bodies, which theoretically absorb all incident electromagnetic radiation, though no perfect ones have been found yet. Black body radiation is in thermal equilibrium with the walls it is enclosed by, so little escapes when it is observed through a hole in one wall. In the early 1900s, some scientists predicted an event known as the ultraviolet catastrophe, which refers to the idea that black bodies would emit radiation with infinite power. The more modern field of quantum mechanics also came from the idea of black body radiation.

We then learned that photodetectors can also measure coupling, which is the transfer of energy from one medium to another. They are also most sensitive to infrared light. Based on this, we supposed that the reading for the intensity of the direct sunlight might be closer to that of the light reflected off of the snow if a green filter was placed in front of the photodetector for both readings. We went outside to test this theory, and obtained the following results for the intensity of sunlight using different colored filters and orienting the photodetector both upwards and downwards. Somewhat surprisingly, we did not notice any dramatic change in the ratio between upward and downward measurements for the different filters.


Monday, 22 February 2013

Reflection, Refraction, and Intensity

We began today's class by discussing power laws, which refer to relationships which can be expressed by equations such as . We restated that the intensity of light can be characterized as a power relationship since . We also established that as you get closer to a light bulb, such as the one we studied last class, it appears to be more of a point source than a three-dimensional one. We learned that the reflection on the meter stick that we observed last time could be reduced by placing black velvet cloth around the meter stick. Alternatively, we could have placed the photodetector in a tube in order to block out this reflection and improve our results.

Next, we discussed Fermat's principle, which is the idea that light travels along the path that takes the shortest amount of time to traverse. Spherical lenses are designed so that different paths of light take the same amount of time, which allows the rays to come together in phase at the focal point.

We then reviewed Snell's law, which describes the relationship between the angles of incidence and refraction at an interface between two media with respect to their different indices of refraction. As light enters a medium with a higher density than the one it is leaving, for example, its rays bend toward the normal line to the interface. We drew a diagram of this result using air, with n = 1.00, and water, for which n = 1.33.

We also derived the law of reflection, which states that the angle of incidence must equal the angle of reflection, using geometry. We first drew an incident ray from point A to an interface and a reflected ray from the interface to what we called point B. We then established a point, B', which was below the surface of the interface along the line from point A to the interface. By connecting points B and B' with a straight, vertical line, we created two triangles which we later proved to be congruent based on a side-angle-side proof. Since one of the angles in the lower triangle was equal to the angle of incidence based on the principle of vertical angles, we were able to show that the corresponding angle in the congruent triangle, which was the angle of reflection, was also equal.

Afterwards, we discussed the findings of Malus and Lambert. Malus' law concerns an ideal polarizer placed in a polarized beam of light, and was the first statement of the "cosine squared" law for polarization. It stated that , where I0 is the initial intensity of the light, I is the final intensity, and θ is the angle between the light's initial polarization direction and the axis of the polarizer. Lambert, meanwhile, discovered that different amounts of light intensity exist at different angles for diffuse reflections and defined this distribution of intensity. We sketched a diagram of diffuse reflection in our notebooks to help us see how this type of reflection causes light rays to scatter in many different directions as a result of the "bumpy" nature of the surface the light is reflecting off of.

Lastly, we attempted to derive an equation for the intensity of the light reflected off of snow and measured by a photodetector as a function of the photodetector's height off of the ground. After several attempts and a major restart, we were successful, and in fact found that the intensity of this light was independent of the photodetector's height off of the ground. The steps we followed to arrive at this equation, as well as the end result, are shown in the proportions and equations below. The final result was consistent with our earlier observation that the intensity of light appeared to change only minimally as we measured it at different heights off of the ground.


Monday, 18 February 2013

Light Intensity and Snow Reflection

We began today's class by shining a laser through one or two polarizers and observing the results. When the laser was pointed directly through two polarizers, we found that extinction was possible when the second polarizer was rotated to an appropriate angle. However, extinction was not possible when the laser was shined through a single polarizer and its reflection off of the whiteboard was viewed through a second polarized lens. This meant that the light reflected from the board was no longer polarized. We then shined the laser through a polarizer and reflected it off of a mirror. In this case, the light remained polarized and extinction was possible when a second polarizer was held in front of this light. The difference between these two reflections was that the reflection off of the whiteboard was diffuse, meaning it was scattered and could be seen from anywhere nearby, while the reflection off of the mirror was specular and could only be seen from a more precise location. Additionally, we found that the laser light was circularly polarized when it was reflected off of the mirror and onto a white notebook page.

Next, we reviewed the concept of Brewster's angle, which is the angle at which light with a particular polarization is transmitted through a surface with no reflection, as we saw in a puddle during last class. We also learned that although many polarizers absorb light in one direction and transmit it in the other, some do not absorb light at all, but simply reflect it in different directions. Furthermore, circularly polarized light becomes oppositely-handed when it is reflected, meaning that its electric field begins to rotate in the opposite direction.

We then used a photodetector to measure the intensity of light in the lab under different conditions. We found it to be .007 mA (7 μA) with the overhead light on while sitting, .011 mA (11 μA) with the same light on while standing (and therefore holding the photodetector closer to the light), and .000 mA (0 μA) with the light off. Next, we turned the overhead lights off and measured the intensity of the light from a desk lamp at various distances away. These values were recorded in a table and plotted on a graph in our notebooks. (We found the relationship between the natural log of the distance values and the natural log of the intensity values to be approximately linear.)

Towards the end of the class, we went outside and measured the intensity both of the direct sunlight and of the light reflected off of the snow on the ground. When pointed downwards, the photodetector picked up reflections from all areas of the snow, but when pointed upwards, it simply took readings for the direct sunlight. We measured the intensity of the direct sunlight to be between 4.2 and 4.5 mA. However, when we measured the intensity of the light reflected off of the snow while holding the photodetector at a 90-degree angle to the horizontal, we found it to be: 1.2 mA 80 cm off of the ground, 1.3 mA 20 cm off of the ground, and 1.4 mA 3 cm off of the ground. Finally, we found the intensity to be 1.5 mA when the reflected light was measured while holding the photodetector at a 45-degree angle to the horizontal.


Monday, 4 February 2013

Diffraction and the Fundamentals of Light

Today we looked at two different light sources through holographic diffraction grating glasses and observed that their lenses "separated" the different colors of white light, which contains all colors. The lab's overhead lights appeared to be separated into distinct stripes/grids of color, while the desk lamp pattern was a continuum, meaning that it contained gradients of each color in white light. The reason for this difference was that the desk lamp contains an incandescent bulb, while the overhead lights are fluorescent. Flouresent lamps contain mercury atoms, which give off light when their excited electrons drop back to the ground state. The spectrum given off by these atoms includes violet, green, yellow, red, and ultraviolet light. Furthermore, we were told that the frost-like substance that can be seen in fluorescent bulbs when they are turned off is actually phosphor.

We then took a look at some more household items and discussed how they relate to optics. Toothpaste and laundry detergent, for example, are meant to absorb light in certain ways in order to make colors and whites appear brighter. We also looked at the reflection of a laser beam off of CDs and a toothpaste box. When doing so, we noticed that the reflection off of the CD appeared in a straight line, while the toothpaste box's reflection was less patterned. Next, we considered a simple example of a lenticular lens, which is meant to reflect images at different angles. In the case of our falling apple example, this made the object in the image appear to move as the lens was tilted with respect to the observer.

Dr. Noé then told us about the fundamentals of light. We learned that light is mostly a wave, since the photons in it are quantized and therefore only of concern when they interact with something else. We also discussed visible light as an electromagnetic wave, and were told that the magnetic field does not interact with stationary particles, but the electric one does. Additionally, the behavior of light can be simplified by considering it to be a scalar wave rather than a vector one, meaning it has magnitude/amplitude, but no direction.

Next, we looked at a few different methods of representing waves in a diagram. Conventionally, wave fronts represent the crests of waves, but they can be any reference points that move with time as the wave propagates. Rays, on the other hand, are lines that are perpendicular to the wave front. They show the direction of energy flow, but cannot be used to analyze certain phenomena, such as diffraction, because they have no phase element.

Lastly, we used a magnifying glass and an eyeglass lens to burn through paper using the light from the sun. Holding the lens and the paper at different angles to the sunlight and to each other changed the effectiveness of the burning.


Friday, 1 February 2013

Lab Introduction

Today was our first day in the Laser Teaching Center with Dr. Noé as part of our WISE 187 class. We spent most of our time discussing past projects that had been done in the lab in order to give us some ideas for our topic of research. For example, one student, Marissa, sought to learn about the reasons why certain portions of a person's shadow are more clear than others. Another researcher worked with polarized light and analyzed the different patterns that were created by small screens. Yet another former student experimented with different frequencies of LED lights and observed their different appearances when viewed directly and peripherally.

Dr. Noé emphasized that many of these project ideas came from humble beginnings, and therefore that ours could too. He told us that he and Marissa stumbled upon her project topic when they were just sitting outside on a sunny day and he questioned her about the form of her shadow. Hopefully we will have a better idea of what we would like to research by next week!

We also talked about how the different fields of science and mathematics are interconnected, and how the understanding of these connections can give us more insight into the field of optics. For instance, we looked at Manushi's project, which involved the mathematical modeling of the human eye and its interactions with light. We also discussed the biology of the eye and how the placement of its different types of cells (rods and cones) affects human vision and perception of color.