Frequency Doubling Using LBO in a Resonant External Enhancement Cavity

Anne Marie March
SUNY Stony Brook
Optics Rotation Project 4, Spring 2001

Adivsor: Prof. Hal Metcalf



Project Goal and Introduction

The goal of this project was to learn about designing an efficient frequency doubling system, focusing specifically on the particular system used in Prof. Metcalf's lab. This particular system doubles the output of a cw Ti:Sapphire laser at 778 nm to 389 nm. This generated blue light is used to excite the 23S1 -> 33PJ transition in metastable He, a transition which is of interest for studies of laser cooling. The doubling process utilizes the nonlinear phenomenon called second harmonic generation (SHG), where a crystal that is illuminated with a laser beam of frequency omega produces light with a frequency 2omega.

SHG was first observed experimentally in 1961 by Peter A. Franken and coworkers at the University of Michigan. They focused a 3 kW pulse of 694.3 nm light onto a quartz crystal and only about one part in 108 of this was converted to 347.15 nm light. A much greater generation efficiency is needed to produce useful blue light, and there are several techniques which make this possible. Using a phase matching method, and placing the crystal in a carefully designed resonant cavity are techiniqes which I describe in this report. Also, the frequency of the blue light must be stable to excite the He. I also discuss some frequency locking techniques.

A schematic diagram of the doubling setup is shown below:


Second Harmonic Generation (SHG)

The production of second harmonic light by atoms in a crystal can be thought of in terms of a nonlinear oscillator model. The force binding an electron to the nucleus of an atom in a crystal is the Coulomb force. To analyze the response of the electron in an oscillating electric field, this potential can be Taylor expanded about the electron's equilibrium position. For low intensity light (small field), considering only the first term in the expansion (the linear term) is sufficient. This is the familiar linear oscillator model, where the outer most electron experiences a driving force, e/m*E(t), and a linear restoring force, -m*omega0^2*x. However, for high intensity light, like that from a laser, the second term in the expansion (the term proportional to x^2) is no longer negligible and must be included in the analysis.

Because of this second order term, the incident field induces a polarization within the crystal that contains components that oscillate not only with the incident frequency, omega, but also a component which oscillates at twice the freqency of the incident light. This polarization then produces radiation at the fundamental frequency, omega, and the second harmonic, 2*omega.


Phase Matching

Due to the dispersion in a crystal, the refractive index for the fundamental frequency, nomega and the refractive index for the second harmonic frequency, n2*omega, will typically not be equal. This causes the blue light to travel at a different speed than the red light. The result of this is that blue light generated as the red light propagates throught the crystal has a different phase than the blue light generated before. The blue light from different places along the red light's path interferes destructively, and greatly reduces the total intensity of blue light.

The basic idea is exemplified in the following diagram:

It can be shown that the second harmonic field varies as:

,

where Eomega is the incident field at the frequency omega and z is the interaction length.

The phase mismatch parameter in this equation is:

,

So, to maximize the efficiency of blue light generation in the crystal we need

,

Or, ideally, we would like nomega= n2*omega.

There are several different methods of doing this.

Phase Matching Methods:

Uncritical Phase Matching

This method uses a crystal that has dispersion with n2omega = nomega. These crystals are typically temperature sensitive, and this property is used to achieve phase matching by temperature control of the crystal.

Critical Phase Matching

This method utilizes the birefringent properties of crystals to achieve phase matching. A birefreingent material is one in which the refractive index depends on the polarization of the light in the material.

Type I: The polarizations of omega and 2*omega are perpendicular to each other. The fundamental is along the ordinary axis and the second harmonic is along the extraordinary axis. Phase matching condition: no,omega = ne,2*omega

Type II: The fundamental is now polarized at 45 degrees to both axes while the second harmonic is still along the extraordinary axis. Phase matching condition: 1/2( no,omega + ne,omega) = ne,2*omega



The Crystal

The crystal used in this particular system is lithium tri-borate (LBO). Its length is 1.8 cm and it has the following properties:
  • Like any crystal used for SHG, it does not have inversion symmetry. Crystals with inversion symmetry cannot be used since the second order term of the polarization would vanish. It is this term that causes SHG.
  • Its phase matching angle is 33.73o.
  • Its damage threshold is 2.5 GW/cm2.
  • It has flat faces perpendicular to its optical axis which are >99.85% transmitting for the fundamental and >99% transmitting for the second harmonic.



The Cavity

The power of the generated second harmonic light is proportional to the square of the fundamental power.

Therefore, the amount of blue light produced can be increased by increasing the amount of red light. This is done by positioning the crystal in a build-up cavity that is resonant at the fundamental frequency.

For this particular doubling system a "bowtie" cavity was used. A schematic diagram is shown below:

The size of the crystal is 1.8 cm. The input mirror has 97% reflectivity at 778 nm, while the other mirrors are coated for >99.8% reflectivity of the 778 nm light. The mirrors are narrow band coated so they are transparent for the 389 nm light.

In order to obtain maximum SHG efficiency it is necessary to carefully calculate several parameters for the cavity, given the reflectivities of the mirrors and the crystal length.

To do this, we consider the Gaussian beam as it travels through the cavity.

A Gaussian beam is characterized by the complex parameter, qi(z):

w is the spot size

the z-axis is the propagation axis

R is the radius of curvature for the beam

The condition for a Gaussian beam mode of a resonator is:

where the coefficients A, B, C, and D are given by the ABCD ray matrix for the cavity:

L=l1+l2+l4

fi is the effective focal length of the curved mirrors

Because the curved mirrors are used at an angle theta instead of at normal incidence, there is astigmatism. The focal lengths in the sagittal plane are different from those in the tangential plane. Fortunately, the sagittal and tangential beams can be considered individual beams with their own q's and corresponding matrices.

To have the highest SHG efficiency, the Gaussian beam should have no astigmatism at the center of the crystal, and the waists in both the tangential and sagittal planes should coicide. It is possible to chose L so that the astigmatism vanishes here.

The final calculated cavity parameters which optimize SHG are:

  • l'3 = 0.1069 m
  • L = 0.713 m
  • theta = 0.113 rad
  • w0 = 31.5 micrometers

The power of the second harmonic light can be calculated as follows:

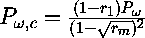
When in a cavity, the fundamental power is replaced by the circulating power in the resonator.

This circulating power is given by:

,

where r1 is the power reflectivity of the input mirror and rm is the power refliectivity for a single round trip in the cavity.

There are four mirrors in this cavity, two spherical mirrors and two plane mirrors. For a four mirror cavity, rm is given by:

,

where r1, r2, r3, and r4 are the reflectivities of the cavity mirrors, and t is the power transmission through the crystal at the frequency omega.

This equation can be substituted back into the previous equation for Pomega,c to get a quartic equation for Pomega,c, which can be solved numerically. This value can then be substituted in

For an incident power of 2 W, it was calculated that the blue light output should be 1.2 W. I need to ask Oleg what it really is!



Locking the Fundamental Beam to the Resonant Cavity

Thermal fluctuations and vibrations can cause the cavity to drift away from resonance, which greatly reduces SHG. Therefore, it is necessary to have a locking scheme to keep the cavity at the frequency of the Ti:Sapph laser.

In this setup the method developed by Hansch and Coullaud is used. In this method the changes in the polarization of reflected light from the cavity is monitored.

The general setup is shown here:

A quasi 3D drawing is shown here:

With this setup, when the cavity is on resonance, the reflected wave components are in phase. The reflected beam is linearly polarized, though rotated from its original direction.

Off resonance, the parallel component of E acquires a phase shift and the total reflected beam is elliptically polarized. The handedness of the polarization ellipse depends on the sign of the detuning from resonance.

To measure this ellipticity:

Consider the elliptically polarized light to be a superposition of two counterrotating circularly polarized components of different amplitudes. The quarter wave plate transforms the cricular components to orthogonal linearly polarized components. Then the beamsplitter separates the components and each are measured with a photodetector. The signals are subtracted and the signal is integrated to produce an error signal which is sent to a PZT connected to one of the cavity mirrors.